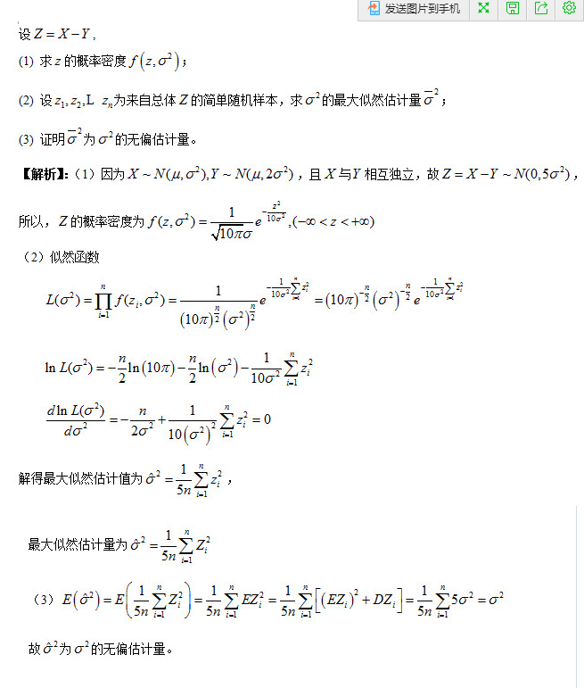
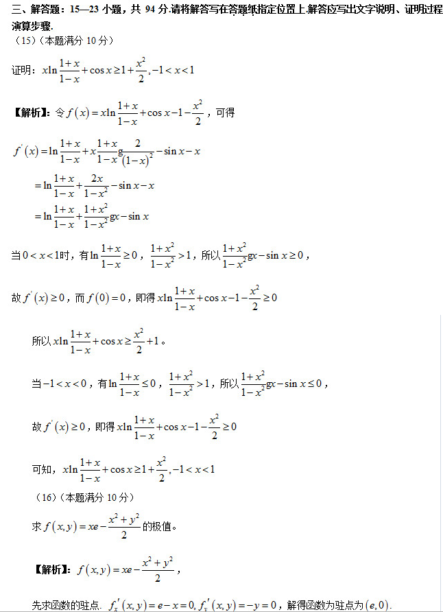
考研派 > 考研報考網 > 考研百科 > 考研數學 > 2012數二考研真題答案 2012數二考研真題答案 Add考研派研究生微信為你免費答疑 QQ咨詢:【考研派 okaoyan.com】 為大家提供2012數二考研真題答案,更多考研資訊請關注我們網站的更新!敬請收藏本站。 2012數二考研真題答案詳細介紹如下,希望可以幫助到您: 文章來源:2012數二考研真題答案上一頁 下一頁 推薦閱讀 2014年數二考研真題答案 2014年數二考研真題 2014考研數二真題答案 2013數二考研真題解析 2013年數二考研真題答案 2013年數二考研真題 2013年考研數二真題 2012數二考研真題及答案 相關考研分類 復試分數線考研英語二考研真題下載考研復試注意事項考研調劑考研數學推免研究生考研如何選擇導師就業前景考研國家線考研英語一考研熱門專業考研資料研究生招生信息網招生簡章高分考研考研常見問題考研成績查詢考博信息17年考研報名考研視頻考研不考數學考研究生條件考研時間考研時間安排考研大綱考研政治大綱考研英語大綱考研數學大綱考研西綜大綱考研難嗎研究生成績公布研究生學費在職研究生研究生獎學金考研網官方網站考研政治考研英語閱讀考研英語考研網 熱門考研院校 安徽大學 北京大學 北京工業大學 北京航空航天 北京化工大學 北京交通大學 北京科技大學 北京理工大學 北京林業大學 北京師范大學 北京體育大學 北京外國語 北京郵電大學 北京中醫藥 長安大學 重慶大學 大連海事大學 大連理工大學 電子科技大學 第二軍醫大學 第四軍醫大學 東北大學 東北林業大學 東北農業大學 東北師范大學 東華大學 東南大學 復旦大學 福州大學 廣西大學 貴州大學 國防科技大學 中國科學院 哈爾濱工業大學 河北工業大學 合肥工業大學 河海大學 華北電力大學 華東理工大學 華東師范大學 華東政法大學 華南理工大學 華南師范大學 華中科技大學 華中農業大學 華中師范大學 湖南大學 湖南師范大學 江南大學 吉林大學 暨南大學 蘭州大學 遼寧大學 內蒙古大學 南昌大學 南京大學 南京航空航天 南京理工大學 南京農業大學 南京師范大學 南開大學 清華大學 山東大學 上海財經大學 上海大學 上海交通大學 上海外國語 陜西師范大學 深圳大學 四川大學 四川農業大學 蘇州大學 太原理工大學 天津大學 天津醫科大學 同濟大學 對外經濟貿易 武漢大學 武漢理工大學 廈門大學 西安電子科技 西安交通大學 西北大學 西北工業大學 西北農林科技 西南財經大學 西南大學 西南交通大學 新疆大學 延邊大學 云南大學 浙江大學 鄭州大學 中國傳媒大學 中國地質大學 中國地質大學 中國海洋大學 中國科學技術 中國礦業大學 中國農業大學 中國人民大學 中國石油大學 中國石油大學 中國藥科大學 中國政法大學 中南財經政法 中南大學 中山大學 中央財經大學 中央民族大學 中央音樂學院