武漢理工大學考研網
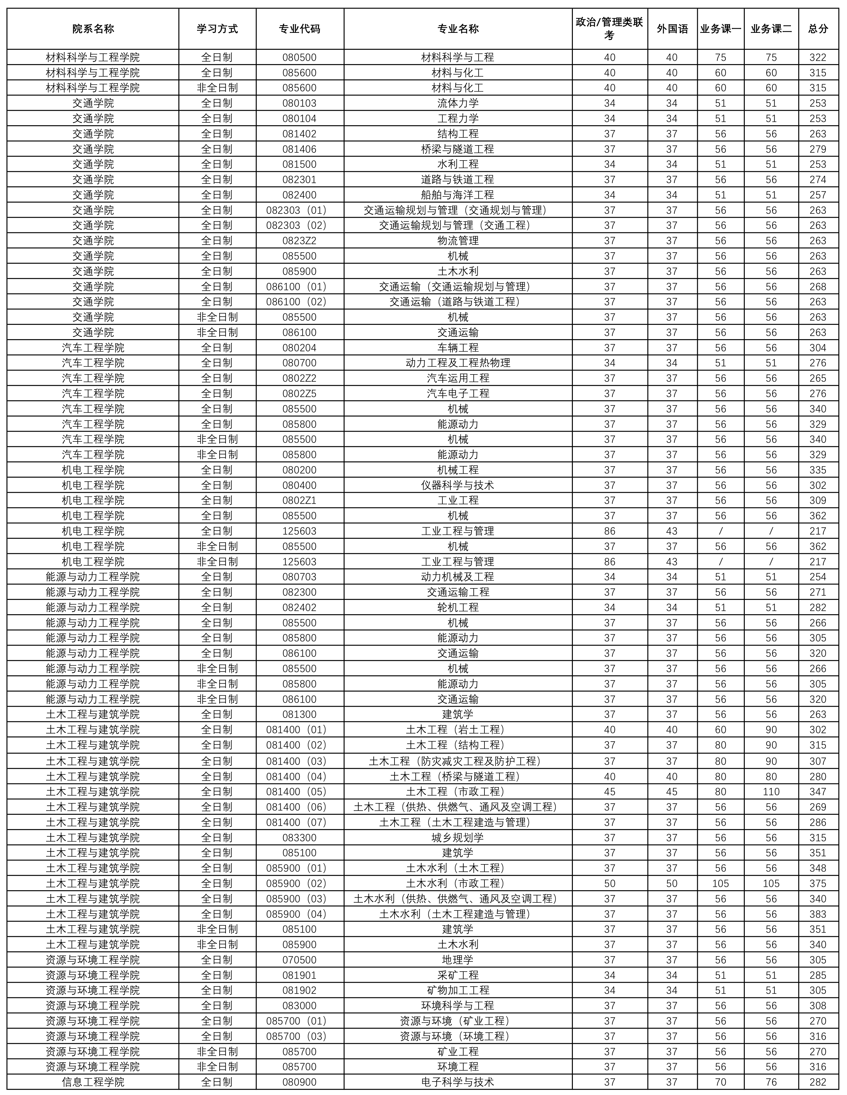
材料科學與工程學院
交通學院
管理學院
機電工程學院
能源與動力工程學院
土木工程與建筑學院
汽車工程學院
資源與環境工程學院
信息工程學院
計算機科學與技術學院
自動化學院
航運學院
物流工程學院
理學院
化學化工與生命科學學院
經濟學院
藝術與設計學院
外國語學院
文法學院
政治與行政學院
馬克思主義學院
體育部
教育科學研究院
2021年武漢理工大學碩士研究生招生目錄
2021武漢理工大學研究生招生專業目錄是廣大考研學子和家長朋友們十分關心的問題,招生專業目錄包含了招生專業、研究方向、考試科目、學習方式等具體信息,以下是考研派為大家整理的2021武漢理工大學碩士研究生招生專業目錄,希望對大家有所幫助。
點擊下列鏈接即可查看:2021武漢理工大學研究生招生專業目錄
武漢理工大學2021碩士研究生招生簡章
武漢理工大學是首批列入國家“211工程”重點建設的教育部直屬全國重點大學,首批列入國家“雙一流計劃”建設高校,教育部和交通運輸部、國家國防科技工業局共建高校。學校現有一級學科博士學位授權點19個,一級學科碩士
學位授權點45個,博士后科研流動站17個;有22個碩士專業學位授權類別,
39個碩士專業學位授權領域。
第一章報名條件
第一條報名參加全國碩士研究生招生考試的人員必須符合的條件:
(一)中華人民共和國公民。
(二)擁護中國共產黨的領導,品德良好,遵紀守法。
(三)身體健康狀況符合國家和學校規定的體檢要求。
(四)考生學業水平必須符合下列條件之一:
1.國家承認學歷的應屆本科畢業生(含普通高校、成人高校、普通高校舉辦的成人高等學歷教育應屆本科畢業生)及自學考試和網絡教育屆時可畢業本科生。考生錄取當年入學前(學校規定的報到時間,下同)必須取得國家承認的本科畢業證書,否則錄取資格無效。
2.具有國家承認的大學本科畢業學歷的人員。
3.獲得國家承認的高職高專畢業學歷后滿2年(從畢業后到錄取當年入學之日,下同)或2年以上的人員,以及國家承認學歷的本科結業生,按本科畢業同等學力身份報考。
4.已獲碩士、博士學位的人員。
在校研究生報考須在報名前征得所在培養單位同意,并于研究生報名報名確認前,將證明材料郵寄或傳真到武漢理工大學研究生招生辦公室。
第二條報名參加以下專業學位全國碩士研究生招生考試的按下列規定執
行
(一)報名參加法律(非法學)專業學位碩士研究生招生考試的人員,須符
合下列條件:
1.符合第一條中的各項要求。
2.報考前所學專業為非法學專業(普通高等學校本科專業目錄法學門類中的法學類專業[代碼為0301]畢業生、專科層次法學類畢業生和自學考試形式的法學類畢業生不得報考)。
(二)報名參加法律(法學)專業學位研究生碩士招生考試的人員,須符合下列條件:
1.符合第一條中的各項要求。
2.報考前所學專業為法學專業(僅普通高等學校本科專業目錄法學門類中的法學類專業[代碼為0301]畢業生、專科層次法學類畢業生和自學考試形式的法學類畢業生等可以報考)。
(三)報名參加工商管理、公共管理、工程管理碩士中的工程管理[代碼為125601]和項目管理[代碼為125602]專業學位碩士研究生招生考試的人員,須符合下列條件:
1.符合第一條中第(一)、(二)、(三)各項的要求。
2.大學本科畢業后有3年或3年以上工作經驗的人員;或獲得國家承認的高職高專畢業學歷或大學本科結業后,符合招生單位相關學業要求,達到大學本科畢業同等學力并有5年或5年以上工作經驗的人員;或獲得碩士學位或博士學位后有2年或2年以上工作經驗的人員。
工商管理碩士專業學位研究生相關考試招生政策同時按照《教育部關于進一步規范工商管理碩士專業學位研究生教育的意見》(教研〔2016〕2號)有關規定執行。
第三條報名參加單獨考試的人員必須符合的條件
(一)符合第一條中第(一)、(二)、(三)各項的要求。
(二)取得國家承認的大學本科學歷后連續工作4年或4年以上,業務優秀,已發表過研究論文(技術報告)或已經成為業務骨干,經考生所在單位同意和兩名具有高級專業技術職稱的專家推薦,定向就業本單位的在職人員;或獲得碩士學位或博士學位后工作2年或2年以上,業務優秀,經考生所在單位同意和兩名具有高級專業技術職稱的專家推薦,定向就業本單位的在職人員。
(三)我校單獨考試只接收報考非全日制類型的考生。
第二章招生人數
第四條2021年招生專業目錄中各專業擬招生人數為不含擬招收推免碩士生人數的考試招生人數。2021年考試招生錄取實際人數可能因根據教育部下達我校的實際招生計劃和推免生實際錄取情況而調整。
第三章學習方式及學制規定
第五條碩士研究生學習方式分為全日制和非全日制兩種,就業方式分為
定向就業和非定向就業兩種類型。全日制和非全日制研究生考試招生依據國家統一要求,執行相同的政策和標準。定向就業的碩士研究生按定向合同就業;非定向就業的碩士研究生按本人與用人單位雙向選擇的辦法就業。
第六條工商管理(125100)、公共管理(125200)、會計(125300)及工程
管理(125600)專業領域學制2.5年。其他專業學位招生領域及學術型招生專業
學制3年。
第四章報名流程
第七條網上報名。網上報名時間為:2020年10月10日至31日,每天9:00-22:00,逾期不再補報;應屆本科生可提前預報名,時間為:2020年9月
24日至27日,每天9:00-22:00。已參加預報名的應屆本科生報名有效,無需重復網報。
(一)考生在規定時間內登錄“中國研究生招生信息網”。首次登錄的考生先實名注冊,一個身份證號只能注冊一個賬戶。考生在網上報名期間可自行修改網上報名信息或重新填報報名信息,但每個賬號只能保留一條有效報名信息。
(二)按我校網上公告要求報名。
(三)核對所填報考信息無誤后提交。
(四)打印或記錄網上報名時系統分配的報名號,供報名確認用。
(五)選擇武漢理工大學報考點的考生在“中國研究生招生信息網”上完成繳納報名費,其他考點考生以考點通知為準。
(六)選擇武漢理工大學報考點的考生在“中國研究生招生信息網”報名的過程中,應在備注信息中填寫考區地址(考區1,或考區2)。選擇考區1的考生在武漢理工大學南湖校區參加考試;選擇考區2的考生在武漢理工大學余家頭校
區參加考試。未填報此項信息的考生將由系統自行分配考試地點。
(七)考生要準確填寫本人所受獎懲情況,特別是要如實填寫在參加普通和成人高等學校招生考試、全國碩士研究生招生考試、高等教育自學考試等國家教育考試過程中因違紀、作弊所受處罰情況。對弄虛作假者,將按照《國家教育考試違規處理辦法》《普通高等學校招生違規行為處理暫行辦法》嚴肅處理。
(八)報名期間將對考生學歷(學籍)信息進行網上校驗,考生可上網查看學歷(學籍)校驗結果。考生也可在報名前或報名期間自行登錄“中國高等教育學生信息網”(網址:http://www.chsi.com.cn)查詢本人學歷(學籍)信息。未能通過學歷(學籍)網上校驗的考生應在招生單位規定時間內完成學歷(學籍)核驗。
(九)按規定享受少數民族照顧政策的考生,在網上報名時須如實填寫少數民族身份,且申請定向就業少數民族地區。
(十)“少數民族高層次骨干人才計劃”招生按照教育部相關文件政策執行,考生應準確填報民族信息,并及時提交經生源地省級教育行政部門審核的考生。
(十一)報考“退役大學生士兵”專項碩士研究生招生計劃的考生,應為高校學生應征入伍退出現役,且符合碩士研究生報考條件者〔高校學生指全日制普通本專科(含高職)、研究生、第二學士學位的應(往)屆畢業生、在校生和入學新生,以及成人高校招收的普通本專科(高職)應(往)屆畢業生、在校生和入學新生,下同〕。考生報名時應當選擇填報退役大學生士兵專項計劃,并按要求填報本人入伍前的入學信息以及入伍、退役等相關信息。
(十二)考生應當認真了解并嚴格按照報考條件及相關政策要求選擇填報志愿。因不符合報考條件及相關政策要求,造成后續不能報名確認、考試、復試或錄取的,后果由考生本人承擔。
(十三)考生應當按要求準確填寫個人網上報名信息并提供真實材料。考生因網報信息填寫錯誤、填報虛假信息而造成不能考試、復試或錄取的,后果由考生本人承擔。
第八條報名確認
(一)報名確認時間:2020年11月上旬(以具體通知為準)
(二)報名確認具體操作要求,以具體通知為準。
(三)所有考生(不含推免生)均應當在規定時間內繼續報名確認,未按時進行報名確認的本次報名無效。
(四)考生報名確認應當提交本人居民身份證、學歷學位證書(應屆本科畢業生持學生證)和網上報名編號,由報考點工作人員進行核對。報考“退役大學生士兵專項碩士研究生招生計劃的考生還應當提交本人《入伍批準書》和《退出現役證》。
(五)考生應當對本人網上報名信息進行認真核對并確認。報名信息經考生確認后一律不作修改,因考生填寫錯誤引起的一切后果由其自行承擔。
(六)2021年入學前可獲得國家承認學歷的本科畢業證書的湖北省自考考生須持湖北省教育考試院自考辦出具的《湖北省高等教育自學考試在籍考生2021年碩士研究生考試報名資格申請表》,網絡教育本科生須持所就讀高校出具的應屆本科畢業生證明方可辦理報名確認手續。
(七)沒有有效居民身份證的考生,應盡快到戶籍所在地公安派出所辦理。2021年碩士研究生考試在標準化考場進行,并實行刷居民身份證入場,無有效居民身份證的考生一律不能入場考試。
(八)考生應按要求配合采集本人圖像等電子信息,并簽署《2021年湖北省碩士研究生考試誠信應考承諾書》。
第五章考試
第九條初試日期:2020年12月26-28日(28日為4小時科目考試時間),初試方式均為筆試,具體安排如下:
12月26日上午思想政治理論、管理類聯考綜合能力
12月26日下午外國語
12月27日上午業務課一
12月27日下午業務課二
12月28日4小時設計科目考試
每科考試時間一般為3小時;建筑設計等科目考試時間一般為4小時。第十條初試地點:武漢理工大學南湖校區、余家頭校區
第十一條復試安排:2021年4月左右在武漢理工大學進行(具體時間、
要求瀏覽武漢理工大學研究生院網站或“武漢理工大學研究生招生”官方微信)。
第六章研究生學費標準及資助體系
第十二條根據教育部文件規定,所有被錄取的碩士研究生均需繳納學費,學費標準以入學當年省物價局批準的標準為準,各類別研究生學費標準見學校信息公開網。研究生獎助體系中各類獎助學金評定和助學貸款等辦法按學校有關規定執行。
第七章注意事項
第十三條報考點選擇
(一)報考武漢理工大學的單獨考試考生和初試科目中有4小時考試科目考生,網報時須選擇武漢理工大學報考點,若選擇其它考點一律不準參加考試。
(二)按照湖北省考試院文件要求,除報考武漢理工大學的單獨考試考生和初試科目中有4小時考試科目考生外,武漢理工大學報考點接受兩類考生的報考:
1.報考本校的本校應屆畢業生或武漢地區考生;
2.本校應屆畢業,報考省外招生單位以及報考武漢地區未設報考點的招生單位的考生。
(三)武漢市往屆考生報名時須提供本人戶口簿原件及復印件;在武漢市工作但戶口未隨遷的其他籍往屆考生報名時須提供工作所在地公安部門辦理的居住證原件及復印件,或由工作所在地社保局開具的本人近3個月的社保繳費證明。提供虛假證件、證明的,一經查實,將取消考試、錄取資格。因未按規定提供上述材料而造成報名點不予報名確認的,責任由考生自行承擔。
第十四條準考證打印。考生應當在2020年12月19日至12月28日期間
憑網報用戶名和密碼登錄“研招網”自行下載打印《準考證》。《準考證》使用A4幅面白紙打印,正、反兩面在使用期間不得涂改或書寫。考生憑下載打印的《準考證》及有效居民身份證參加初試和復試。
第十五條沒有完成報名確認的考生,即使已完成網上報名手續仍被視為
本次報名無效。
第十六條武漢理工大學報考點不統一為考生購買考試文具,請考生自行
攜帶考試所需文具,文具一般包括2B鉛筆(注意檢查是否有筆芯或筆芯是否快用完),黑色簽字筆,橡皮等。
第十七條我校碩士研究生招生簡章中已公布各招生學院的聯系方式和網
址。各科目考試大綱、參考書目及要求由各招生學院在學院網站發布,考生可瀏覽相關招生學院網址,了解招生專業相關信息。
第十八條武漢理工大學研招辦已建立武漢理工大學研究生招生微信公共
平臺,并在武漢理工大學研究生院網頁設立招生專欄及時向考生公布招生信息。
武漢理工大學中國史考研專業分析
學校介紹武漢理工大學是首批列入國家“211工程”重點建設的教育部直屬全國重點大學,是首批列入國家“雙一流計劃”建設高校,是教育部和交通運輸部、國家國防科技工業局共建高校。70年來,學校共培養了50余萬名高級專門人才,是教育部直屬高校中為建材建工、交通、汽車三大行業培養人才規模最大的學校,已成為我國“三大行業”高層次人才培養和科技創新的重要基地。學校研究生教育將秉承“卓越教育、卓越人才、卓越人生”的卓越教育理念,堅持“立德樹人、服務需求、提高質量、追求卓越”一條主線,把握研究生培養模式改革、研究生培(來自:考研派之家公眾號)養機制創新和研究生質量保障體系建設三大著力點,圍繞卓越人才所應具備的知識結構、創新能力、整體素養三類核心素質,聚焦研究生教育的招生、培養、學位、管理四個關鍵環節,構建以高水平導師隊伍建設強化一流師資支撐、以優質生源選拔保障一流生源質量、以卓越人才培養規范一流培養過程、以培養條件建設形成一流條件保障、以教育管理創新打造一流制度規范“五個一流”卓越研究生教育支撐體系,通過實施人才選拔方式、人才培養機制、項目支撐體系、實踐基地建設、多元交流形式和質量提升工程六大重點改革任務,全面提升研究生教育質量,切實推進學校“雙一流”建設。
專業介紹
中國史學專業培養具有一定的馬克思主義基本理論素養和系統的專業基本知識,有進一步培(來自:考研派之家公眾號)養潛能的史學專門人才,以及能在國家機關、文教事業、新聞出版、文博檔案及各類企事業單位從事實際工作的應用型、復合型高級專門人才。
考試科目
| 研究方向 | 初試科目 | 復試科目或內容 | 初試參考書目或教材 |
|
中國史 |
①101 思想政治理論 ②201 英語一、202 俄語、 203 日語(選一) ③313 歷史學基礎 |
歷史學綜合 |
《中國古代史》(上冊) 晁福林 北京師范大學出版社 《中國古代史》(下冊) 寧欣 北京師范大學出版社 |
參考書目
《中國古代史》(上冊) 晁福林 北京師范大學出版社
《中國古代史》(下冊) 寧欣 北京師范大學出版社
分數線
| 年份 | 分數線 |
| 2020 | 355 |
| 2019 | 355 |
學費
中國史碩士研究生均需繳納學費。學術學位碩士研究生學制3年,學費標準為1萬元/生.學年,每學年第一學期開學報到時繳納,按三學年繳納
主要導師
柯育芳,男,武漢理工大學教授、碩士生導師、馬克思主義學院歷史文化研究中心主任,主持馬克(來自:考研派之家公眾號)思主義理論博士點國防教育方向、中國近現代史碩士點軍事史方向,中共黨員,湖北黃梅獨山鄉柯思湖村人,1964年7月31日出生,1984年畢業于四川大學歷史系,2004年畢業于武漢大學政治與行政學院(在職研究生),主要從事歷史和文化研究、黨建和政治理論研究。
李銀波,男,1968年4月生,歷史學博士,副教授。先后畢業于華中師(來自:考研派之家公眾號)范大學歷史系和武漢大學歷史系。1994-2005年在華中科技大學新聞與信息傳播學院任教,2005年至今于武漢理工大學文法學院傳播系任教。曾于2003-2004在德國美因茲大學新聞學院訪問,于2007-2008年在美國威斯康辛-麥迪遜大學德國研究中心訪問。任“中國德國史研究會”理事。Email: yinbo0385_cn@sina.com
武漢理工大學英語語言文學考研專業分析
學校介紹武漢理工大學是首批列入國家“211工程”重點建設的教育部直屬全國重點大學,是首批列入國家“雙一流計劃”建設高校,是教育部和交通運輸部、國家國防科技工業局共建高校。70年來,學校共培養了50余萬名高級專門人才,是教育部直屬高校中為建材建工、交通、汽車三大行業培養人才規模最大的學校,已成為我國“三大行業”高層次人才培養和科技創新的重要基地。學校研究生教育將秉承“卓越教育、卓越人才、卓越人生”的卓越教育理念,堅持“立德樹人、服務需求、提高質量、追求卓越”一條主線,把握研究生培養模式改革、研究生(來自:考研派之家公眾號)培養機制創新和研究生質量保障體系建設三大著力點,圍繞卓越人才所應具備的知識結構、創新能力、整體素養三類核心素質,聚焦研究生教育的招生、培養、學位、管理四個關鍵環節,構建以高水平導師隊伍建設強化一流師資支撐、以優質生源選拔保障一流生源質量、以卓越人才培養規范一流培養過程、以培養條件建設形成一流條件保障、以教育管理創新打造一流制度規范“五個一流”卓越研究生教育支撐體系,通過實施人才選拔方式、人才培養機制、項目支撐體系、實踐基地建設、多元交流形式和質量提升工程六大重點改革任務,全面提升研究生教育質量,切實推進學校“雙一流”建設。
專業介紹
英語語言文學專業培養學生具有堅定正確的政治方向、良好的品德修養、健康的心理素質。英語語言(來自:考研派之家公眾號)文學專業培養厚基礎、寬口徑的英語實用型人才,熟練掌握聽、說、讀、寫、譯等實踐技能,深刻了解英語語言、文學以及英語國家歷史、社會、文化、政治、經濟等知識,并具有扎實的實踐能力和比較廣博的人文社會科學文化知識和初步的科學研究能力。
考試科目
| 研究方向 | 初試科目 | 復試科目或內容 | 初試參考書目或教材 |
|
英語語言文學 |
①101 思想政治理論 ②242 德語、243 法語、244 俄語 一、245 日語一(選一) ③619 基礎英語 ④816 英美文學、815 英語語言學 (選一) |
英語語言文學 |
張劍,趙冬,王文麗編:《英美詩歌選讀》,2008年,外語教學與研究出版社 羅經國:《新編英國文學選讀》2卷本,第四版,北京大學出版社 陳嘉:《英國文學作品選讀》 3卷本,商務印書館 |
參考書目
張劍,趙冬,王文麗編:《英美詩歌選讀》,2008年,外語教學與研究出版社
羅經國:《新編英國文學選讀》2卷本,第四版,北京大學出版社
陳嘉:《英國文學作品選讀》 3卷本,商務印書館
分數線
| 年份 | 分數線 |
| 2020 | 360 |
| 2019 | 365 |
學費
英語語言文學碩士研究生均需繳納學費。學術學位碩士(來自:考研派之家公眾號)研究生學制3年,學費標準為1萬元/生.學年,每學年第一學期開學報到時繳納,按三學年繳納
主要導師
姓名:劉應亮
性別:女
職稱:副教授、碩士生導師
學位:博士
研究方向:英語應用語言學,二語習得
學習與工作經歷:
1993年9月——1997年6月:華中師范大學英語系英語語言文學專業,學士學位
1997年9月——2000年6月:華中師范大學外國語學院英語語言文學專業,碩士學位
姓名:李斯
職稱:副教授,博士,碩導
性 別:男
出生年月:1961年
研究方向:英美文學\宗教哲學
學習工作經歷
1981年—1986年,華中理工大學英語系,獲英語語言文學專業學士學位
1986年—1989年,武漢大學外語系, 獲文學碩士學位
1990年─1999年, 武漢博信科技翻譯文化公司
武漢理工大學英語筆譯考研專業分析
學校介紹武漢理工大學是首批列入國家“211工程”重點建設的教育部直屬全國重點大學,是首批列入國家“雙一流計劃”建設高校,是教育部和交通運輸部、國家國防科技工業局共建高校。70年來,學校共培養了50余萬名高級專門人才,是教育部直屬高校中為建材建工、交通、汽車三大行業培養人才規模最大的學校,已成為我國“三大行業”高層次人才培養和科技創新的重要基地。學校研究生教育將秉承“卓越教育、卓越人才、卓越人生”的卓越教育理念,堅持“立德樹人、服務需求、提高質量、追求卓越”一條主線,把握研究生培養模式改革、研究生(來自:考研派之家公眾號)培養機制創新和研究生質量保障體系建設三大著力點,圍繞卓越人才所應具備的知識結構、創新能力、整體素養三類核心素質,聚焦研究生教育的招生、培養、學位、管理四個關鍵環節,構建以高水平導師隊伍建設強化一流師資支撐、以優質生源選拔保障一流生源質量、以卓越人才培養規范一流培養過程、以培養條件建設形成一流條件保障、以教育管理創新打造一流制度規范“五個一流”卓越研究生教育支撐體系,通過實施人才選拔方式、人才培養機制、項目支撐體系、實踐基地建設、多元交流形式和質量提升工程六大重點改革任務,全面提升研究生教育質量,切實推進學校“雙一流”建設。
專業介紹
本專業學位點培養德、智、體面發展,符合球經濟一體化、提升國際競爭力需要及(來自:考研派之家公眾號)滿足國家經濟、文化、社會建設需要的層次、應用型、專業性口筆譯人才。根據目前的學科發展條件,MTI專業暫以筆譯方向為主,待時機成熟后增加口譯方向。本專業學位招收具有國民教育序列大學本科學歷(或本科同等學力)人員。鼓勵具有不同學科和專業背景的生源報考。
考試科目
| 研究方向 | 初試科目 | 復試科目或內容 | 初試參考書目或教材 |
|
英語筆譯 |
①101 思想政治理論 ②211 翻譯碩士英語 ③357 英語翻譯基礎 ④448 漢語寫作與百科知識 |
英語翻譯基礎 |
242德語 《大學德語(1-2冊)》 張書良 高等教育出版社 2007年 243法語 《簡明法語教程(上下冊)》 孫輝 商務印書館 2008年 244俄語 《俄語(1-2冊)(第2次修訂版)》 黑龍江大學俄語系編 外語教學與研究出版社 2005年 245日語 《標準日本語(初級上下冊、中級上冊)》 人民教育出版社 2008年 619基礎英語 《新編英語教程(1-6冊)》 李觀儀 上海外語教育出版社 2004年 619基礎英語 《高級英語(1-2冊)》 張漢熙 外語教學與研究出版社 2004年 815英語語言學 《語言學教程(第三版)》 胡壯麟 北京大學出版社 2006年 |
參考書目
242德語 《大學德語(1-2冊)》 張書良 高等教育出版社 2007年
243法語 《簡明法語教程(上下冊)》 孫輝 商務印書館 2008年
244俄語 《俄語(1-2冊)(第2次修訂版)》 黑龍江大學俄語系編 外語教學與研究出版社 2005年
245日語 《標準日本語(初級上下冊、中級上冊)》 人民教育出版社 2008年
619基礎英語 《新編英語教程(1-6冊)》 李觀儀 上海外語教育出版社 2004年
619基礎英語 《高級英語(1-2冊)》 張漢熙 外語教學與研究出版社 2004年
815英語語言學 《語言學教程(第三版)》 胡壯麟 北京大學出版社 2006年
分數線
| 年份 | 分數線 |
| 2020 | 355 |
| 2019 | 355 |
學費
英語筆譯碩士研究生均需繳納學費。學術學位碩士研究生學制3年,學費標(來自:考研派之家公眾號)準為1萬元/生.學年,每學年第一學期開學報到時繳納,按三學年繳納
主要導師
姓名:王達金
職稱:教授,碩導,校級名師
性 別:男
出生年月:1954年
1996年錄入英國劍橋出版的《世界名人錄》;
現任武漢理工大學外國語學院副院長,主管教學工作。
研究方向:科技英語翻譯,語言與翻譯,英語教學法
姓 名:于艷玲
性 別:女
職 稱:副教授
學 歷:博士
研究方向:翻譯理論與實踐、翻譯項目管理、教學研究
武漢理工大學新聞與傳播考研專業分析
學校介紹武漢理工大學是首批列入國家“211工程”重點建設的教育部直屬全國重點大學,是首批列入國家“雙一流計劃”建設高校,是教育部和交通運輸部、國家國防科技工業局共建高校。70年來,學校共培養了50余萬名高級專門人才,是教育部直屬高校中為建材建工、交通、汽車三大行業培養人才規模最大的學校,已成為我國“三大行業”高層次人才培養和科技創新的重要基地。學校研究生教育將秉承“卓越教育、卓越人才、卓越人生”的卓越教育理念,堅持“立德樹人、服務需求、提高質量、追求卓越”一條主線,把握研究生培養模式改革、研究生培養機制(來自:考研派之家公眾號)創新和研究生質量保障體系建設三大著力點,圍繞卓越人才所應具備的知識結構、創新能力、整體素養三類核心素質,聚焦研究生教育的招生、培養、學位、管理四個關鍵環節,構建以高水平導師隊伍建設強化一流師資支撐、以優質生源選拔保障一流生源質量、以卓越人才培養規范一流培養過程、以培養條件建設形成一流條件保障、以教育管理創新打造一流制度規范“五個一流”卓越研究生教育支撐體系,通過實施人才選拔方式、人才培養機制、項目支撐體系、實踐基地建設、多元交流形式和質量提升工程六大重點改革任務,全面提升研究生教育質量,切實推進學校“雙一流”建設。
專業介紹
武漢理工大學新聞傳播學專業培養目標:培養具有廣播電視新聞學基本理論和寬廣的文(來自:考研派之家公眾號)化科學知識,能在廣播電視新聞宣傳部門,從事編輯、采訪、節目主持與管理等工作的新聞傳播學高級專門人才。
考試科目
| 研究方向 | 初試科目 | 復試科目或內容 | 初試參考書目或教材 |
|
新聞與傳播 |
①101 思想政治理論 ②204 英語二、202 俄語、203 日語 (選一) ③334 新聞與傳播專業綜合能力 ④440 新聞與傳播專業基礎 |
新聞與傳播專業基礎 |
《新聞學概論》 李良榮 復旦大學出版社 初試指定書 40 詳細 訂購 《新聞學概論》(馬克思主義理論研究和建設工程重點教材) 本書編寫組 高等教育出版社 初試指定書 27.2 詳細 訂購 《傳播學教程》 郭慶光 中國人民大學出版社 |
參考書目
《新聞學概論》 李良榮 復旦大學出版社 初試指定書 40 詳細 訂購
《新聞學概論》(馬克思主義理論研究和建設工程重點教材) 本書編寫組 高等教育出版社 初試指定書 27.2 詳細 訂購
《傳播學教程》 郭慶光 中國人民大學出版社
分數線
| 年份 | 分數線 |
| 2020 | 320 |
| 2019 | 330 |
學費
新聞與傳播碩士研究生均需繳納學費。學術學位碩士研究生學制3年,學費標準為1萬元/生.學年,每學年第一學期開學報到時繳納,按三學年繳納
主要導師
嚴茜,女,中共黨員,1983年6月生,湖北武漢市人。在武漢大學新聞與傳播學院新聞(來自:考研派之家公眾號)學專業學習并獲文學博士學位(2008年- 2011年)。現任武漢理工大學文法學院新聞傳播系講師。主要研究領域政治傳播、網絡傳播
賀子岳,女,1963年10月生,四川成都人。教授,新聞傳播系系主任,碩士導師。就學于武漢大學信息管理學院,博士研究生學歷,獲管理學博士學位。美國佩斯大學戴森學院(DYSON COLLEGE OF ARTS AND SCIENCES)訪問學者。
E-mail:iamheziyue@126.com
武漢理工大學軟件工程(專業學位)考研專業分析 )
學校介紹武漢理工大學是首批列入國家“211工程”重點建設的教育部直屬全國重點大學,是首批列入國家“雙一流計劃”建設高校,是教育部和交通運輸部、國家國防科技工業局共建高校。70年來,學校共培養了50余萬名高級專門人才,是教育部直屬高校中為建材建工、交通、汽車三大行業培養人才規模最大的學校,已成為我國“三大行業”高層次人才培養和科技創新的重要基地。學校研究生教育將秉承“卓越教育、卓越人才、卓越人生”的卓越教育理念,堅持“立德樹人、服務需求、提高質量、追求卓越”一條主線,把握研究生培養模式改革、研究(來自:考研派之家公眾號)生培養機制創新和研究生質量保障體系建設三大著力點,圍繞卓越人才所應具備的知識結構、創新能力、整體素養三類核心素質,聚焦研究生教育的招生、培養、學位、管理四個關鍵環節,構建以高水平導師隊伍建設強化一流師資支撐、以優質生源選拔保障一流生源質量、以卓越人才培養規范一流培養過程、以培養條件建設形成一流條件保障、以教育管理創新打造一流制度規范“五個一流”卓越研究生教育支撐體系,通過實施人才選拔方式、人才培養機制、項目支撐體系、實踐基地建設、多元交流形式和質量提升工程六大重點改革任務,全面提升研究生教育質量,切實推進學校“雙一流”建設。
專業介紹
本專業培養計算機軟件工程研究與應用高級人才。本專業培養計劃與國際接軌,通過培養計(來自:考研派之家公眾號)劃實施及理論、抽象、設計實驗等教育過程,使學生掌握軟件工程技術,具備從事大型軟件工程組織、管理、開發能力。離散數學,數據結構,匯編語言程序設計,計算機組成原理,操作系統,編譯原理與方法,數據庫原理,計算機網絡,面向對象程序設計方法,信息系統分析與設計
考試科目
| 研究方向 | 初試科目 | 復試科目或內容 | 初試參考書目或教材 |
|
01(全日制)軟件工程理論 02(全日制)軟件工程技術 03(全日制)軟件工程管理 04(全日制)軟件服務工程 |
①101 思想政治理論 ②201 英語一、202 俄語、203 日 語(選一) ③302 數學二 ④408 計算機學科專業基礎綜合 |
軟件工程理論 |
《數據結構》(C語言版) (嚴蔚敏 清華大學出版社) 《計算機組成原理》唐朔飛高等教育出版社 《計算機操作系統》(湯子瀛 西安電子科技大學) 《計算機網絡》(謝希仁 電子工業出版社) |
參考書目
《數據結構》(C語言版) (嚴蔚敏 清華大學出版社)
《計算機組成原理》唐朔飛高等教育出版社
《計算機操作系統》(湯子瀛 西安電子科技大學)
《計算機網絡》(謝希仁 電子工業出版社)
分數線
| 年份 | 分數線 |
| 2020 | 320 |
| 2019 | 310 |
學費
軟件工程碩士研究生均需繳納學費。學術學位碩士研究生學制3年,學費標準為1萬元/生.學年,每學年第一學期開學報到時繳納,按三學年繳納
主要導師
姓 名:王云華
性 別:男
出生年月:1979年03月
學 位:博士
職 稱:講師
E-mail:yhwang@whut.edu.cn
姓名:熊盛武
性別:男
出生年月:1966年11月
學位:博士
職稱:教授
E-mail:xiongsw@whut.edu.cn
姓 名:周俊偉
性 別:男
出生年月:1986年04月
學 位:博士
職 稱:副教授
武漢理工大學金融學考研專業分析
學校介紹武漢理工大學是首批列入國家“211工程”重點建設的教育部直屬全國重點大學,是首批列入國家“雙一流計劃”建設高校,是教育部和交通運輸部、國家國防科技工業局共建高校。70年來,學校共培養了50余萬名高級專門人才,是教育部直屬高校中為建材建工、交通、汽車三大行業培養人才規模最大的學校,已成為我國“三大行業”高層次人才培養和科技創新的重要基地。學校研究生教育將秉承“卓越教育、卓越人才、卓越人生”的卓越教育理念,堅持“立德樹人、服務需求、提高質量、追求卓越”一條主線,把握研究生培養模式改革、研究生培養機制創(來自:考研派之家公眾號)新和研究生質量保障體系建設三大著力點,圍繞卓越人才所應具備的知識結構、創新能力、整體素養三類核心素質,聚焦研究生教育的招生、培養、學位、管理四個關鍵環節,構建以高水平導師隊伍建設強化一流師資支撐、以優質生源選拔保障一流生源質量、以卓越人才培養規范一流培養過程、以培養條件建設形成一流條件保障、以教育管理創新打造一流制度規范“五個一流”卓越研究生教育支撐體系,通過實施人才選拔方式、人才培養機制、項目支撐體系、實踐基地建設、多元交流形式和質量提升工程六大重點改革任務,全面提升研究生教育質量,切實推進學校“雙一流”建設。
專業介紹
金融學由武漢理工大學與澳大利亞紐卡斯爾大學共同制定,共享雙方優質教學資源。課程采取雙語教學,由雙方大(來自:考研派之家公眾號)學資深教師共同承擔。本專業培養具有扎實的經濟學、金融學理論基礎,熟悉現代金融業務的國際化、高素質、復合型涉外專業人才。
考試科目
| 研究方向 | 初試科目 | 復試科目或內容 | 初試參考書目或教材 |
|
金融學 |
①101 思想政治理論 ②201 英語一、203 日語(選一) ③303 數學三 ④801 西方經濟學(含微觀、宏觀經濟學) |
西方經濟學綜合 |
《宏觀經濟學》《微觀經濟學》周軍武漢理工大學出版社,2005年版 《概率論與數理統計》盛驟、謝式千 高等教育出版社 |
參考書目
《宏觀經濟學》《微觀經濟學》周軍武漢理工大學出版社,2005年版
《概率論與數理統計》盛驟、謝式千 高等教育出版社
分數線
| 年份 | 分數線 |
| 2020 | 300 |
| 2019 | 280 |
學費
金融學碩士研究生均需繳納學費。學術學位碩士(來自:考研派之家公眾號)研究生學制3年,學費標準為1萬元/生.學年,每學年第一學期開學報到時繳納,按三學年繳納
主要導師
姓 名: 宋平
性 別: 女
出生年月: 1967.4
職 稱: 教授
職 務: 碩士生導師
學 位: 博士
學 歷: 研究生
電 話: 13986153761
傳 真: 027-87395079
郵 箱: songping101@21cn.com
姓 名:曾玲玲
性 別:女
出生年月:1974.12
職 稱:副教授
職 務:系副主任
學 位:博士在讀(產業經濟學)
學 歷:研究生
郵 箱:Zeng_1129@yahoo.com.cn
武漢理工大學金融考研專業分析
學校介紹武漢理工大學是首批列入國家“211工程”重點建設的教育部直屬全國重點大學,是首批列入國家“雙一流計劃”建設高校,是教育部和交通運輸部、國家國防科技工業局共建高校。70年來,學校共培養了50余萬名高級專門人才,是教育部直屬高校中為建材建工、交通、汽車三大行業培養人才規模最大的學校,已成為我國“三大行業”高層次人才培養和科技創新的重要基地。學校研究生教育將秉承“卓越教育、卓越人才、卓越人生”的卓越教育理念,堅持“立德樹人、服務需求、提高質量、追求卓越”一條主線,把握研究生培養模式改革、研究生(來自:考研派之家公眾號)培養機制創新和研究生質量保障體系建設三大著力點,圍繞卓越人才所應具備的知識結構、創新能力、整體素養三類核心素質,聚焦研究生教育的招生、培養、學位、管理四個關鍵環節,構建以高水平導師隊伍建設強化一流師資支撐、以優質生源選拔保障一流生源質量、以卓越人才培養規范一流培養過程、以培養條件建設形成一流條件保障、以教育管理創新打造一流制度規范“五個一流”卓越研究生教育支撐體系,通過實施人才選拔方式、人才培養機制、項目支撐體系、實踐基地建設、多元交流形式和質量提升工程六大重點改革任務,全面提升研究生教育質量,切實推進學校“雙一流”建設。
專業介紹
金融學(Finance)是從經濟學中分化出來的應用經濟學科,是以融通貨幣和貨幣資金的(來自:考研派之家公眾號)經濟活動為研究對象,具體研究個人、機構、政府如何獲取、支出以及管理資金以及其他金融資產的學科。金融學專業培養具備金融學方面的理論知識和業務技能,能在銀行、證券、投資、保險及其他經濟管理部門和企業從事相關工作的專門人才。
考試科目
| 研究方向 | 初試科目 | 復試科目或內容 | 初試參考書目或教材 |
|
金融 |
①101 思想政治理論 ②204 英語二、203 日語(選一) ③303 數學三 ④431 金融學綜合 |
金融學綜合 |
黃達《金融學》(也叫《貨幣銀行學》)、胡慶康《貨幣銀行學教程》、戴國強《貨幣金融學》、蔣先玲《貨幣金融學》等 |
參考書目
黃達《金融學》(也叫《貨幣銀行學》)、胡慶康《貨幣銀行學教程》、戴國強《貨幣金融學》、蔣先玲《貨幣金融學》等
分數線
| 年份 | 分數線 |
| 2020 | 310 |
| 2019 | 300 |
學費
金融碩士研究生均需繳納學費。學術學位碩士研(來自:考研派之家公眾號)究生學制3年,學費標準為1萬元/生.學年,每學年第一學期開學報到時繳納,按三學年繳納
主要導師
姓 名: 沈蕾
性 別: 女
出生年月: 1973.11
職 稱: 副教授
職 務: 教師
學 位: 碩士
學 歷: 研究生
電 話: 15972229930
傳 真:
郵 箱: surrysl@163.com
姓 名: 康燦華
性 別: 男
出生年月: 1959年4月
職 稱: 學科責任教授、博士生導師
職 務: 副校長
學 位: 博士
學 歷: 研究生
電 話:
傳 真:
郵 箱: kchhua@mail.whut.edu.cn
武漢理工大學研究生學姐

加學姐,獲免費答疑,進考研群
武漢理工大學考研網由武漢理工大學研究生維護,發布最新的武漢理工大學研究生招生信息,還提供武漢理工大學研究生1對1輔導和考研真題等服務,有問題請加微信溝通。
- 武漢理工大學研究生招生網
- 學校網址:www.whut.edu.cn
- 研究生院網址:gd.whut.edu.cn
- 聯系電話:027-87651413
- 郵箱:xxgk@whut.edu.cn
- 通訊地址:武漢市武昌區珞獅南路122號





