中國石油大學(北京)化學工程與技術考研
研究生為你答疑,送資源
.jpg)
因為中國石油大學(北京)化學工程與技術專業研究生數量有限,愿意做考研輔導的數量不確定,請加我們顧問的微信進行咨詢和確認,搶先預訂研究生,以免錯失研究生輔導機會。
中國石油大學(北京)是一個不錯的學校,深受考研人的追捧,本校每年會有數千名研究生招生的名額,研究生報考錄取比在3:1左右,難度中等,部分熱門的研究生專業研究生報考錄取比會更高一點,請各位準備報考中國石油大學(北京)化學工程與技術考研的同學注意: 中國石油大學(北京)化學工程與技術研究生錄取分數線(或稱考研分數線)的數據。因為每年都有不少人報考中國石油大學(北京)化學工程與技術考研,競爭激烈,所以強烈建議各位準備考中國石油大學(北京)化學工程與技術研究生的考研人準備一些基本的歷年考研真題、 研究生學姐學長的筆記、考研經驗等等(考研派有考研經驗頻道,也有考研派微信公眾號、考研派APP等產品平臺,里面有不少研究生會免費解答你的考研問題,助你考研一臂之力),另外考研派也會為大家中國石油大學(北京)化學工程與技術考研的參考書目、考研大綱、研究生招生咨詢電話等聯系方式。希望你考取中國石油大學(北京) 化學工程與技術專業研究生,考研是個孤獨的事情,需要耐得住寂寞,祝愿各位考研的學生好好復習備考,來年上個985/211,實現自己的名校研究生夢想。
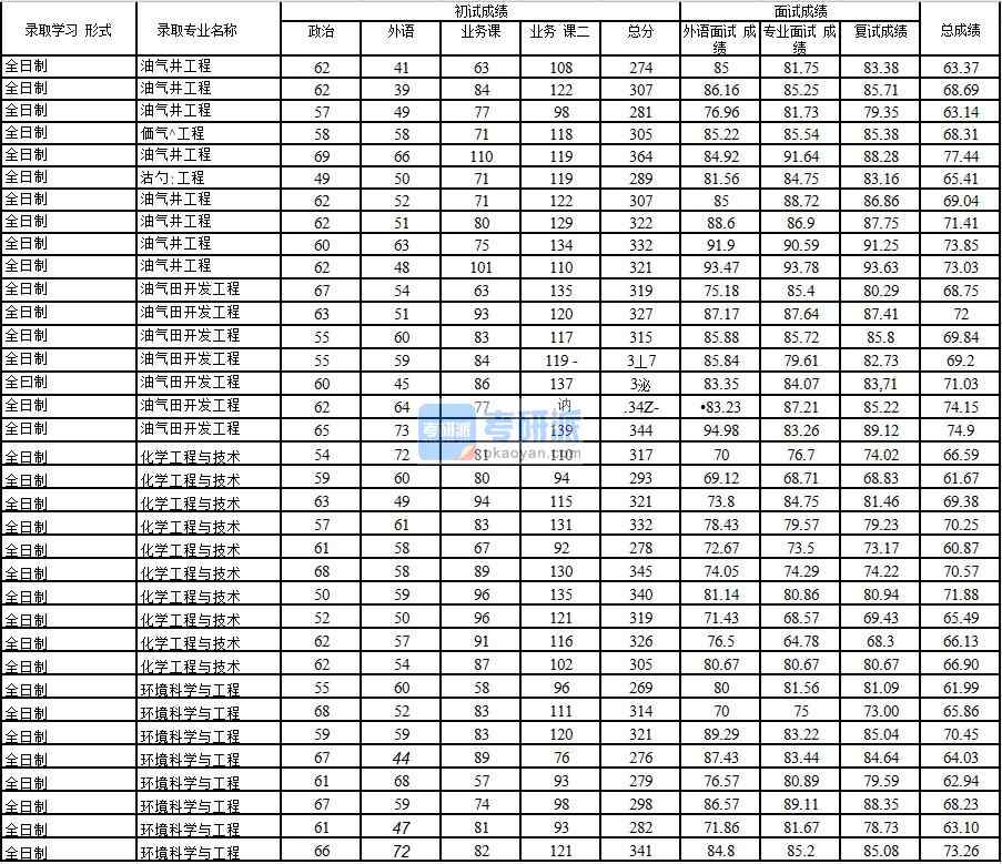
2016年中國石油大學(北京)化學工程與技術考研擬錄取名單
| 1141461****0994 | 化學工程學院 | 化學工程與技術 | 思想政治理論 | 英語一 | 數學二 | 化工原理 | 68 | 72 | 141 | 116 | 397 |
| 1141461****2423 | 化學工程學院 | 化學工程與技術 | 思想政治理論 | 英語一 | 數學二 | 物理化學 | 68 | 67 | 119 | 141 | 395 |
| 1141461****0796 | 化學工程學院 | 化學工程與技術 | 思想政治理論 | 英語一 | 數學二 | 化工原理 | 72 | 67 | 119 | 127 | 385 |
| 1141461****2434 | 化學工程學院 | 化學工程與技術 | 思想政治理論 | 英語一 | 數學二 | 物理化學 | 57 | 73 | 111 | 141 | 382 |
| 1141461****0979 | 化學工程學院 | 化學工程與技術 | 思想政治理論 | 英語一 | 數學二 | 化工原理 | 63 | 61 | 124 | 132 | 380 |
| 1141461****1896 | 化學工程學院 | 化學工程與技術 | 思想政治理論 | 英語一 | 數學二 | 物理化學 | 53 | 58 | 123 | 143 | 377 |
| 1141461****2202 | 化學工程學院 | 化學工程與技術 | 思想政治理論 | 英語一 | 數學二 | 物理化學 | 72 | 69 | 113 | 123 | 377 |
| 1141461****2235 | 化學工程學院 | 化學工程與技術 | 思想政治理論 | 英語一 | 數學二 | 化工原理 | 69 | 75 | 116 | 117 | 377 |
| 1141461****2413 | 化學工程學院 | 化學工程與技術 | 思想政治理論 | 英語一 | 數學二 | 物理化學 | 70 | 66 | 92 | 142 | 370 |
| 1141461****2216 | 化學工程學院 | 化學工程與技術 | 思想政治理論 | 英語一 | 數學二 | 物理化學 | 63 | 72 | 108 | 126 | 369 |
| 1141461****3292 | 化學工程學院 | 化學工程與技術 | 思想政治理論 | 英語一 | 數學二 | 物理化學 | 69 | 62 | 97 | 140 | 368 |
| 1141461****1816 | 化學工程學院 | 化學工程與技術 | 思想政治理論 | 英語一 | 數學二 | 物理化學 | 66 | 63 | 109 | 129 | 367 |
| 1141461****0805 | 化學工程學院 | 化學工程與技術 | 思想政治理論 | 英語一 | 數學二 | 化工原理 | 66 | 62 | 113 | 125 | 366 |
| 1141461****2528 | 化學工程學院 | 化學工程與技術 | 思想政治理論 | 英語一 | 數學二 | 物理化學 | 68 | 60 | 102 | 135 | 365 |
| 1141461****1594 | 化學工程學院 | 化學工程與技術 | 思想政治理論 | 英語一 | 數學二 | 化工原理 | 68 | 64 | 108 | 124 | 364 |
| 1141461****2415 | 化學工程學院 | 化學工程與技術 | 思想政治理論 | 英語一 | 數學二 | 化工原理 | 55 | 70 | 119 | 119 | 363 |
| 1141461****1848 | 化學工程學院 | 化學工程與技術 | 思想政治理論 | 英語一 | 數學二 | 物理化學 | 70 | 77 | 87 | 126 | 360 |
| 1141461****2429 | 化學工程學院 | 化學工程與技術 | 思想政治理論 | 英語一 | 數學二 | 物理化學 | 63 | 62 | 105 | 130 | 360 |
| 1141461****1832 | 化學工程學院 | 化學工程與技術 | 思想政治理論 | 英語一 | 數學二 | 物理化學 | 60 | 61 | 94 | 143 | 358 |
| 1141461****1903 | 化學工程學院 | 化學工程與技術 | 思想政治理論 | 英語一 | 數學二 | 物理化學 | 63 | 61 | 91 | 139 | 354 |
| 1141461****2432 | 化學工程學院 | 化學工程與技術 | 思想政治理論 | 英語一 | 數學二 | 物理化學 | 70 | 69 | 74 | 140 | 353 |
| 1141461****2657 | 化學工程學院 | 化學工程與技術 | 思想政治理論 | 英語一 | 數學二 | 物理化學 | 65 | 58 | 92 | 137 | 352 |
| 1141461****1723 | 化學工程學院 | 化學工程與技術 | 思想政治理論 | 英語一 | 數學二 | 化工原理 | 62 | 62 | 106 | 121 | 351 |
| 1141461****1701 | 化學工程學院 | 化學工程與技術 | 思想政治理論 | 英語一 | 數學二 | 化工原理 | 51 | 50 | 115 | 133 | 349 |
| 1141461****3060 | 化學工程學院 | 化學工程與技術 | 思想政治理論 | 英語一 | 數學二 | 物理化學 | 55 | 57 | 102 | 134 | 348 |
| 1141461****3496 | 化學工程學院 | 化學工程與技術 | 思想政治理論 | 英語一 | 數學二 | 物理化學 | 60 | 56 | 112 | 120 | 348 |
| 1141461****2421 | 化學工程學院 | 化學工程與技術 | 思想政治理論 | 英語一 | 數學二 | 物理化學 | 59 | 55 | 110 | 123 | 347 |
| 1141461****2781 | 化學工程學院 | 化學工程與技術 | 思想政治理論 | 英語一 | 數學二 | 物理化學 | 65 | 60 | 104 | 118 | 347 |
| 1141461****1908 | 化學工程學院 | 化學工程與技術 | 思想政治理論 | 英語一 | 數學二 | 物理化學 | 62 | 51 | 95 | 138 | 346 |
| 1141461****2522 | 化學工程學院 | 化學工程與技術 | 思想政治理論 | 英語一 | 數學二 | 物理化學 | 58 | 49 | 99 | 140 | 346 |
| 1141461****2727 | 化學工程學院 | 化學工程與技術 | 思想政治理論 | 英語一 | 數學二 | 物理化學 | 60 | 63 | 84 | 139 | 346 |
| 1141461****1716 | 化學工程學院 | 化學工程與技術 | 思想政治理論 | 英語一 | 數學二 | 化工原理 | 57 | 65 | 99 | 124 | 345 |
| 1141461****1655 | 化學工程學院 | 化學工程與技術 | 思想政治理論 | 英語一 | 數學二 | 物理化學 | 63 | 64 | 87 | 130 | 344 |
| 1141461****1894 | 化學工程學院 | 化學工程與技術 | 思想政治理論 | 英語一 | 數學二 | 物理化學 | 61 | 60 | 98 | 124 | 343 |
| 1141461****1902 | 化學工程學院 | 化學工程與技術 | 思想政治理論 | 英語一 | 數學二 | 物理化學 | 54 | 59 | 98 | 132 | 343 |
| 1141461****1576 | 化學工程學院 | 化學工程與技術 | 思想政治理論 | 英語一 | 數學二 | 物理化學 | 55 | 56 | 97 | 134 | 342 |
| 1141461****2410 | 化學工程學院 | 化學工程與技術 | 思想政治理論 | 英語一 | 數學二 | 物理化學 | 70 | 52 | 95 | 125 | 342 |
| 1141461****0920 | 化學工程學院 | 化學工程與技術 | 思想政治理論 | 英語一 | 數學二 | 化工原理 | 70 | 72 | 103 | 96 | 341 |
| 1141461****2768 | 化學工程學院 | 化學工程與技術 | 思想政治理論 | 英語一 | 數學二 | 物理化學 | 71 | 73 | 71 | 126 | 341 |
| 1141461****0841 | 化學工程學院 | 化學工程與技術 | 思想政治理論 | 英語一 | 數學二 | 化工原理 | 63 | 77 | 100 | 100 | 340 |
| 1141461****0905 | 化學工程學院 | 化學工程與技術 | 思想政治理論 | 英語一 | 數學二 | 物理化學 | 66 | 62 | 67 | 145 | 340 |
| 1141461****2428 | 化學工程學院 | 化學工程與技術 | 思想政治理論 | 英語一 | 數學二 | 物理化學 | 72 | 67 | 64 | 136 | 339 |
| 1141461****2526 | 化學工程學院 | 化學工程與技術 | 思想政治理論 | 英語一 | 數學二 | 物理化學 | 56 | 54 | 93 | 136 | 339 |
| 1141461****1597 | 化學工程學院 | 化學工程與技術 | 思想政治理論 | 英語一 | 數學二 | 物理化學 | 61 | 55 | 90 | 132 | 338 |
2020年中國石油大學(北京)化學工程與技術研究生錄取分數線

中國石油大學(北京)化學工程與環境學院化學工程與技術專業簡介
2020年中國石油大學(北京)化學工程與技術研究生錄取分數線

2020年中國石油大學(北京)化學工程與技術研究生錄取分數線

化學工程與技術考研院校
基本信息
專業介紹
專業點分布
專業院校排名
| 序號 | 學校代碼 | 學校名稱 | 評選結果 |
| 1 | 10056 | 天津大學 | A+ |
| 2 | 10251 | 華東理工大學 | A+ |
| 3 | 10003 | 清華大學 | A |
| 4 | 10010 | 北京化工大學 | A |
| 5 | 10141 | 大連理工大學 | A |
| 6 | 10291 | 南京工業大學 | A |
| 7 | 10335 | 浙江大學 | A |
| 8 | 10213 | 哈爾濱工業大學 | A- |
| 9 | 10288 | 南京理工大學 | A- |
| 10 | 10337 | 浙江工業大學 | A- |
| 11 | 10561 | 華南理工大學 | A- |
| 12 | 10610 | 四川大學 | A- |
| 13 | 11414 | 中國石油大學 | A- |
| 14 | 10007 | 北京理工大學 | A- |
| 15 | 10080 | 河北工業大學 | B+ |
| 16 | 10112 | 太原理工大學 | B+ |
| 17 | 10248 | 上海交通大學 | B+ |
| 18 | 10286 | 東南大學 | B+ |
| 19 | 10290 | 中國礦業大學 | B+ |
| 20 | 10295 | 江南大學 | B+ |
| 21 | 10384 | 廈門大學 | B+ |
| 22 | 10426 | 青島科技大學 | B+ |
| 23 | 10459 | 鄭州大學 | B+ |
| 24 | 10490 | 武漢工程大學 | B+ |
| 25 | 10533 | 中南大學 | B+ |
| 26 | 10611 | 重慶大學 | B+ |
| 27 | 10615 | 西南石油大學 | B+ |
| 28 | 10697 | 西北大學 | B+ |
| 29 | 10698 | 西安交通大學 | B+ |
| 30 | 10005 | 北京工業大學 | B |
| 31 | 10148 | 遼寧石油化工大學 | B |
| 32 | 10149 | 沈陽化工大學 | B |
| 33 | 10216 | 燕山大學 | B |
| 34 | 10220 | 東北石油大學 | B |
| 35 | 10285 | 蘇州大學 | B |
| 36 | 10359 | 合肥工業大學 | B |
| 37 | 10386 | 福州大學 | B |
| 38 | 10427 | 濟南大學 | B |
| 39 | 10488 | 武漢科技大學 | B |
| 40 | 10530 | 湘潭大學 | B |
| 41 | 10532 | 湖南大學 | B |
| 42 | 10593 | 廣西大學 | B |
| 43 | 10708 | 陜西科技大學 | B |
| 44 | 11845 | 廣東工業大學 | B |
| 45 | 10108 | 山西大學 | B- |
| 46 | 10110 | 中北大學 | B- |
| 47 | 10128 | 內蒙古工業大學 | B- |
| 48 | 10146 | 遼寧科技大學 | B- |
| 49 | 10183 | 吉林大學 | B- |
| 50 | 10190 | 長春工業大學 | B- |
| 51 | 10217 | 哈爾濱工程大學 | B- |
| 52 | 10259 | 上海應用技術大學 | B- |
| 53 | 10292 | 常州大學 | B- |
| 54 | 10385 | 華僑大學 | B- |
| 55 | 10403 | 南昌大學 | B- |
| 56 | 10433 | 山東理工大學 | B- |
| 57 | 10755 | 新疆大學 | B- |
| 58 | 10759 | 石河子大學 | B- |
| 59 | 10011 | 北京工商大學 | C+ |
| 60 | 10057 | 天津科技大學 | C+ |
| 61 | 10058 | 天津工業大學 | C+ |
| 62 | 10060 | 天津理工大學 | C+ |
| 63 | 10082 | 河北科技大學 | C+ |
| 64 | 10142 | 沈陽工業大學 | C+ |
| 65 | 10256 | 上海電力大學 | C+ |
| 66 | 10280 | 上海大學 | C+ |
| 67 | 10299 | 江蘇大學 | C+ |
| 68 | 10360 | 安徽工業大學 | C+ |
| 69 | 10422 | 山東大學 | C+ |
| 70 | 10462 | 鄭州輕工業學院 | C+ |
| 71 | 10497 | 武漢理工大學 | C+ |
| 72 | 10589 | 海南大學 | C+ |
| 73 | 10081 | 華北理工大學 | C |
| 74 | 10188 | 東北電力大學 | C |
| 75 | 10255 | 東華大學 | C |
| 76 | 10298 | 南京林業大學 | C |
| 77 | 10361 | 安徽理工大學 | C |
| 78 | 10423 | 中國海洋大學 | C |
| 79 | 10424 | 山東科技大學 | C |
| 80 | 10558 | 中山大學 | C |
| 81 | 10657 | 貴州大學 | C |
| 82 | 10674 | 昆明理工大學 | C |
| 83 | 10705 | 西安石油大學 | C |
| 84 | 10730 | 蘭州大學 | C |
| 85 | 10731 | 蘭州理工大學 | C |
| 86 | 11072 | 江漢大學 | C |
| 87 | 10008 | 北京科技大學 | C- |
| 88 | 10145 | 東北大學 | C- |
| 89 | 10152 | 大連工業大學 | C- |
| 90 | 10166 | 沈陽師范大學 | C- |
| 91 | 10212 | 黑龍江大學 | C- |
| 92 | 10214 | 哈爾濱理工大學 | C- |
| 93 | 10270 | 上海師范大學 | C- |
| 94 | 10431 | 齊魯工業大學 | C- |
| 95 | 10475 | 河南大學 | C- |
| 96 | 10564 | 華南農業大學 | C- |
| 97 | 10614 | 電子科技大學 | C- |
| 98 | 10616 | 成都理工大學 | C- |
| 99 | 10622 | 四川理工學院 | C- |
| 100 | 10712 | 西北農林科技大學 | C- |
| 101 | 10732 | 蘭州交通大學 | C- |
| 102 | 11065 | 青島大學 | C- |
化學工程與技術考研考什么
2022化學工程與技術專業考研群
微信搜索公眾號“考研派之家”,關注【考研派之家】微信公眾號,在考研派之家微信號輸入【中國石油大學(北京)考研分數線、中國石油大學(北京)報錄比、中國石油大學(北京)考研群、中國石油大學(北京)學姐、中國石油大學(北京)考研真題、中國石油大學(北京)專業目錄、中國石油大學(北京)排名、中國石油大學(北京)保研、中國石油大學(北京)公眾號、中國石油大學(北京)研究生招生)】即可在手機上查看相對應中國石油大學(北京)考研信息或資源。

中國石油大學(北京)化學工程與技術考研 推薦
- 中國石油大學(北京)化學工程與技術考研
- 中國石油大學(北京)化學工程與技術考研參考書目
- 中國石油大學(北京)化學工程與技術考研QQ群
- 中國石油大學(北京)化學工程與技術考研難嗎
- 中國石油大學(北京)化學工程與技術考研考試科目
- 中國石油大學(北京)化學工程與技術研究生分數線
- 中國石油大學(北京)化學工程與技術研究生一對一輔導
- 中國石油大學(北京)化學工程與技術研究生輔導
- 中國石油大學(北京)化學工程與技術考研輔導
- 中國石油大學(北京)化學工程與技術考研參考書目
- 中國石油大學(北京)化學工程學院化學工程與技術保研夏令營
- 中國石油大學(北京)化學工程學院化學工程與技術保研
- 中國石油大學(北京)化學工程學院化學工程與技術保研細則
- 中國石油大學(北京)化學工程學院化學工程與技術保研條件
- 中國石油大學(北京)化學工程學院保研夏令營
- 中國石油大學(北京)化學工程與技術考研論壇
- 中國石油大學(北京)化學工程與技術考研分數線
- 中國石油大學(北京)化學工程與技術考研真題
- 西安交通大學化學工程與技術考研
- 貴州民族大學化學工程與技術考研
- 武漢紡織大學化學工程與技術考研
- 濟南大學化學工程與技術考研
- 內蒙古科技大學化學工程與技術考研
- 桂林理工大學化學工程與技術考研
- 上海交通大學化學工程與技術考研
- 太原理工大學化學工程與技術考研
- 清華大學化學工程與技術考研
- 海南大學化學工程與技術考研
- 東華大學化學工程與技術考研
- 西安工程大學化學工程與技術考研
- 新疆大學化學工程與技術考研
- 華北電力大學化學工程與技術考研
- 上海大學化學工程與技術考研
- 清華大學化學工程與技術考研
- 齊魯工業大學化學工程與技術考研
- 中國石油大學(北京)化學工程與技術考研
- 湖南大學化學工程與技術考研
- 重慶大學化學工程與技術考研
- 南昌大學化學工程與技術考研
- 濟南大學化學工程與技術考研
- 吉林化工學院化學工程與技術考研
- 西安交通大學化學工程與技術考研
- 黑龍江科技大學化學工程與技術考研
- 太原理工大學化學工程與技術考研
- 福建農林大學化學工程與技術考研
- 浙江科技學院化學工程與技術考研
- 湘潭大學化學工程與技術考研
- 上海工程技術大學化學工程與技術考研
- 青島農業大學化學工程與技術考研
- 煙臺大學化學工程與技術考研
- 貴州大學化學工程與技術考研
- 電子科技大學化學工程與技術考研
- 河南工業大學化學工程與技術考研
- 江西理工大學化學工程與技術考研
- 江蘇海洋大學化學工程與技術考研
- 安徽工業大學化學工程與技術考研
- 天津工業大學化學工程與技術考研
- 西南科技大學化學工程與技術考研
- 北京工業大學化學工程與技術考研
- 上海交通大學化學工程與技術考研
- 武漢理工大學化學工程與技術考研
- 江南大學化學工程與技術考研
- 濟南大學化學工程與技術考研
- 武漢科技大學化學工程與技術考研
- 北京化工大學化學工程與技術考研
- 華僑大學化學工程與技術考研
- 西安建筑科技大學化學工程與技術考研
- 哈爾濱工業大學化學工程與技術考研
- 河南科技大學化學工程與技術考研
- 安徽師范大學化學工程與技術考研
- 吉林化工學院化學工程與技術考研
- 東南大學化學工程與技術考研
- 北京理工大學化學工程與技術考研
- 湘潭大學化學工程與技術考研
- 廣西民族大學化學工程與技術考研
- 山東理工大學化學工程與技術考研
- 廣西民族大學化學工程與技術考研
- 湖南理工學院化學工程與技術考研
中國石油大學(北京)研究生學姐
.jpg)
加學姐,獲免費答疑,進考研群
中國石油大學(北京)考研網由中國石油大學(北京)研究生維護,發布最新的中國石油大學(北京)研究生招生信息,還提供中國石油大學(北京)研究生1對1輔導和考研真題等服務,有問題請加微信溝通。
/1.png)