南昌大學圖書情報與檔案管理考研
南昌大學微信
研究生為你答疑,送資源

研究生為你答疑,送資源

95%的同學還閱讀了:[南昌大學考研真題免費下載] [南昌大學歷年保研筆試/面試真題匯.pdf] [南昌大學預推免信息匯總表.xls] [南昌大學保研生源分析表.xls]
[南昌大學研究生招生]
[南昌大學研究生分數線[2013-2020]]
[南昌大學王牌專業排名]
[南昌大學考研難嗎]
[南昌大學研究生院]
[南昌大學考研群]
[南昌大學研究生學費]
[南昌大學研究生獎學金]
[南昌大學研究生輔導]
[南昌大學在職研究生招生簡章]
[考研國家線[2006-2020]]
[年考研時間:報名日期和考試時間]
因為南昌大學圖書情報與檔案管理專業研究生數量有限,愿意做考研輔導的數量不確定,請加我們顧問的微信進行咨詢和確認,搶先預訂研究生,以免錯失研究生輔導機會。
南昌大學是一個不錯的學校,深受考研人的追捧,本校每年會有數千名研究生招生的名額,研究生報考錄取比在3:1左右,難度中等,部分熱門的研究生專業研究生報考錄取比會更高一點,請各位準備報考南昌大學圖書情報與檔案管理考研的同學注意: 南昌大學圖書情報與檔案管理研究生錄取分數線(或稱考研分數線)的數據。因為每年都有不少人報考南昌大學圖書情報與檔案管理考研,競爭激烈,所以強烈建議各位準備考南昌大學圖書情報與檔案管理研究生的考研人準備一些基本的歷年考研真題、 研究生學姐學長的筆記、考研經驗等等(考研派有考研經驗頻道,也有考研派微信公眾號、考研派APP等產品平臺,里面有不少研究生會免費解答你的考研問題,助你考研一臂之力),另外考研派也會為大家南昌大學圖書情報與檔案管理考研的參考書目、考研大綱、研究生招生咨詢電話等聯系方式。希望你考取南昌大學 圖書情報與檔案管理專業研究生,考研是個孤獨的事情,需要耐得住寂寞,祝愿各位考研的學生好好復習備考,來年上個985/211,實現自己的名校研究生夢想。
南昌大學圖書情報與檔案管理120500考研科目及參考書目
圖書情報與檔案管理 [120500] 學術學位
專業信息
- 所屬院校:南昌大學
- 招生年份:2020年
- 招生類別:全日制研究生
- 所屬學院:管理學院
- 所屬門類代碼、名稱:[12]管理學
- 所屬一級學科代碼、名稱:[05]圖書情報與檔案管理
專業招生詳情
| 研究方向: | 01(全日制)數字圖書館理論與實踐 02(全日制)數字信息資源管理 03(全日制)知識管理與知識服務 04(全日制)競爭情報與戰略管理 05(全日制)科學計量與科技評價 06(全日制)大數據分析方法與應用 |
|
| 招生人數: | ||
| 考試科目: | 【初試科目】 ①101思想政治理論 ②201英語一 ③303數學三或637管理學 ④880信息管理基礎(含信息管理學、數據庫原理) 【復試科目】 專業課筆試 信息分析 同等學力加試 ①C程序設計 ②信息組織 |
|
| 備 注: | ||
2020年南昌大學圖書情報與檔案管理研究生錄取分數線
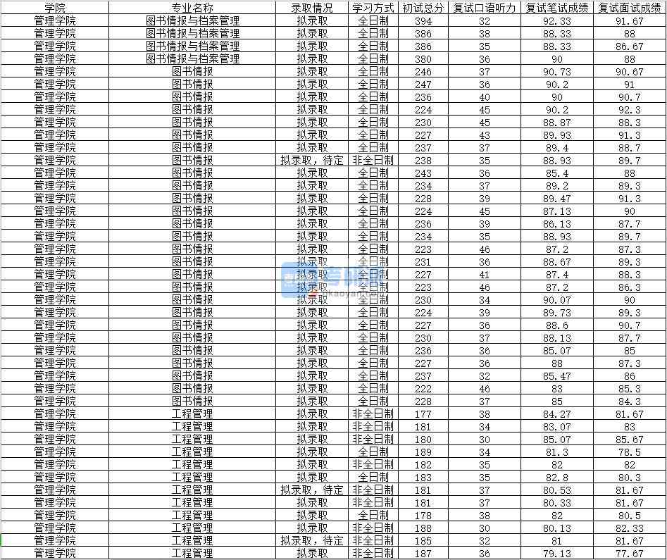
南昌大學圖書情報與檔案管理考研的各位同學,2020年南昌大學圖書情報與檔案管理研究生錄取名單終于公布了,南昌大學圖書情報與檔案管理是一個不錯的專業,希望各位今年的考研分數線能過2020年南昌大學圖書情報與檔案管理研究生錄取分數線,下面是2020年南昌大學研究生院公布的2020年南昌大學圖書情報與檔案管理研究生錄取分數線和南昌大學圖書情報與檔案管理研究生擬錄取名單。
2020年南昌大學圖書情報與檔案管理研究生錄取分數線(或稱考研分數線)和南昌大學圖書情報與檔案管理的研究生錄取分數線是兩個不同的概念,前者是進入南昌大學圖書情報與檔案管理研究生復試的基本要求線,后者是2020年南昌大學圖書情報與檔案管理研究生錄取分數線,包含了初試復試的綜合成績。本文是2020年南昌大學圖書情報與檔案管理研究生錄取分數線,內容來自南昌大學研究生院相關網站,如有出入請以南昌大學官方網站公布的2020年南昌大學圖書情報與檔案管理研究生錄取分數線為準。
以下是2020年南昌大學的研究生錄取名單,成績從高到底,供準備報考該專業研究生的同學參考:

圖書情報與檔案管理考研院校
基本信息
專業名稱:圖書情報與檔案管理 專業代碼:120500 門類/類別:管理學 學科/類別:圖書情報與檔案管理
專業介紹
中山大學為例:請查閱中山大學相關招生院系的網頁。
專業點分布
江蘇大學 山東理工大學 湘潭大學 中山大學 西安電子科技大學
專業大學排名
1205 圖書情報與檔案管理
本一級學科中,全國具有“博士授權”的高校共 11 所,本次參評10 所;部分具有“碩士授權”的高校 也參加了評估;參評高校共計 39 所(注:評估結果相同的高校排序不分先后,按學校代碼排列)
| 序號 | 學校代碼 | 學校名稱 | 評選結果 |
| 1 | 10284 | 南京大學 | A+ |
| 2 | 10486 | 武漢大學 | A+ |
| 3 | 10002 | 中國人民大學 | A- |
| 4 | 10001 | 北京大學 | B+ |
| 5 | 10055 | 南開大學 | B+ |
| 6 | 10511 | 華中師范大學 | B+ |
| 7 | 10558 | 中山大學 | B+ |
| 8 | 10183 | 吉林大學 | B |
| 9 | 10212 | 黑龍江大學 | B |
| 10 | 10280 | 上海大學 | B |
| 11 | 10673 | 云南大學 | B |
| 12 | 90021 | 南京政治學院 | B |
| 13 | 10269 | 華東師范大學 | B- |
| 14 | 10307 | 南京農業大學 | B- |
| 15 | 10459 | 鄭州大學 | B- |
| 16 | 10027 | 北京師范大學 | C+ |
| 17 | 10288 | 南京理工大學 | C+ |
| 18 | 10530 | 湘潭大學 | C+ |
| 19 | 10610 | 四川大學 | C+ |
| 20 | 10023 | 北京協和醫學院 | C |
| 21 | 10075 | 河北大學 | C |
| 22 | 10285 | 蘇州大學 | C |
| 23 | 10394 | 福建師范大學 | C |
| 24 | 10019 | 中國農業大學 | C- |
| 25 | 10065 | 天津師范大學 | C- |
| 26 | 10108 | 山西大學 | C- |
| 27 | 10140 | 遼寧大學 |
C- |
圖書情報與檔案管理考研考什么
圖書情報與檔案管理研究生考試科目:
①101思想政治理論
②201英語一
③621管理學
④815信息資源管理
圖書情報與檔案管理考研參考書:
| 2014年北京理工大學圖書情報與檔案管理考研參考書目及考試科目 | |
| 科目代碼及名稱 | 參考書目 |
| 883 情報學基礎 | 《信息管理基礎》清華大學出版社 岳劍 |
| 813 計算機專業基礎 |
數據結構:《數據結構》( C 語言版) 嚴蔚敏 吳偉民 清華大學出版社。 計算機組成原理:《計算機組成原理》(第3 版),蔣本珊 清華大學出版社。 操作系統:《操作系統原理教程》,張麗芬等著,電子工業出版社。《操作系統實驗教程及Linux 和Windows 系統調用編程》,張麗芬等著,清華大學出版社。 計算機網絡:《計算機網絡》(第五版)Andrew S. Tanenbaum , David J. Wetherall 著 嚴 偉 潘愛民 譯 清華大學出版社 |
圖書情報與檔案管理專業研究生就業:
圖書館學的考研錄取率是很高的,認真點都能考上,武大,北大,南大都很不錯!就業主要是高校或者公共圖書館,信息服務部門,信息數據庫建設,圖書的營銷部門,以及網絡信息組織部門,包括百度等搜索引擎網站的信息整理等!就業面不是很廣,但是也還好了,如果你的專業素質拓展不錯,就業面可以相應擴大。就業率還是可以的,工作比較平穩,競爭壓力小
2021圖書情報與檔案管理專業考研群
南昌大學圖書情報與檔案管理考研 推薦
- 南昌大學圖書情報與檔案管理考研
- 南昌大學圖書情報與檔案管理考研參考書目
- 南昌大學圖書情報與檔案管理考研QQ群
- 南昌大學圖書情報與檔案管理考研難嗎
- 南昌大學圖書情報與檔案管理考研考試科目
- 南昌大學圖書情報與檔案管理研究生分數線
- 南昌大學圖書情報與檔案管理研究生一對一輔導
- 南昌大學圖書情報與檔案管理研究生輔導
- 南昌大學圖書情報與檔案管理考研輔導
- 東華理工大學圖書情報與檔案管理考研
- 新鄉醫學院圖書情報與檔案管理考研
- 江蘇大學圖書情報與檔案管理考研
- 東南大學圖書情報與檔案管理考研
- 中山大學圖書情報與檔案管理考研
- 重慶大學圖書情報與檔案管理考研
- 蘇州大學圖書情報與檔案管理考研
- 廣西民族大學圖書情報與檔案管理考研
- 山東理工大學圖書情報與檔案管理考研
- 遼寧師范大學圖書情報與檔案管理考研
- 湘潭大學圖書情報與檔案管理考研
- 安徽大學圖書情報與檔案管理考研
- 南昌大學圖書情報與檔案管理考研
關于我們
以下資料由南昌大學圖書情報與檔案管理研究生團隊整理提供,其團隊成員覆蓋各個院系,專門搜集本校的考研真題和高分筆記、題庫等資料。
專業課資料作為考研核心資料,部分專業重題概率極高,必須吃透,反復復習。如有需要高分研究生學長一對一輔導的,也可聯系我們安排。
考研派網站,為大家提供安全的交易平臺,資料有任何問題,均可向我們投訴,我們會督促考研派研究生團隊解決問題,保障同學們的權益。
最新購買
手機商城
掃描二維碼,更便捷的購買資料
不僅有商品,還有更多資訊和活動

