南昌大學基礎醫學考研
南昌大學微信
研究生為你答疑,送資源

研究生為你答疑,送資源

95%的同學還閱讀了:[南昌大學考研真題免費下載] [南昌大學歷年保研筆試/面試真題匯.pdf] [南昌大學預推免信息匯總表.xls] [南昌大學保研生源分析表.xls]
[南昌大學研究生招生]
[南昌大學研究生分數線[2013-2020]]
[南昌大學王牌專業排名]
[南昌大學考研難嗎]
[南昌大學研究生院]
[南昌大學考研群]
[南昌大學研究生學費]
[南昌大學研究生獎學金]
[南昌大學研究生輔導]
[南昌大學在職研究生招生簡章]
[考研國家線[2006-2020]]
[年考研時間:報名日期和考試時間]
因為南昌大學基礎醫學專業研究生數量有限,愿意做考研輔導的數量不確定,請加我們顧問的微信進行咨詢和確認,搶先預訂研究生,以免錯失研究生輔導機會。
南昌大學是一個不錯的學校,深受考研人的追捧,本校每年會有數千名研究生招生的名額,研究生報考錄取比在3:1左右,難度中等,部分熱門的研究生專業研究生報考錄取比會更高一點,請各位準備報考南昌大學基礎醫學考研的同學注意: 南昌大學基礎醫學研究生錄取分數線(或稱考研分數線)的數據。因為每年都有不少人報考南昌大學基礎醫學考研,競爭激烈,所以強烈建議各位準備考南昌大學基礎醫學研究生的考研人準備一些基本的歷年考研真題、 研究生學姐學長的筆記、考研經驗等等(考研派有考研經驗頻道,也有考研派微信公眾號、考研派APP等產品平臺,里面有不少研究生會免費解答你的考研問題,助你考研一臂之力),另外考研派也會為大家南昌大學基礎醫學考研的參考書目、考研大綱、研究生招生咨詢電話等聯系方式。希望你考取南昌大學 基礎醫學專業研究生,考研是個孤獨的事情,需要耐得住寂寞,祝愿各位考研的學生好好復習備考,來年上個985/211,實現自己的名校研究生夢想。
2021南昌大學基礎醫學專業研究生考研參考書目
【初試書目】全國統考,參考教育部有關規定。
【復試書目】
生理學,王庭槐主編,人民衛生出版社,第九版,2018年出版;
南昌大學0基礎醫學10010考研科目及參考書目
0基礎醫學 [10010] 學術學位
專業信息
- 所屬院校:南昌大學
- 招生年份:2020年
- 招生類別:全日制研究生
- 所屬學院:醫學院
- 所屬門類代碼、名稱:[10]醫學
- 所屬一級學科代碼、名稱:[01]基礎醫學
專業招生詳情
| 研究方向: | 01(全日制)病理學與病理生理學 02(全日制)生殖細胞發育及調控 03(全日制)免疫學及其免疫治療學 04(全日制)病原生物學與法醫學 05(全日制)神經系統功能與疾病 06(全日制)心血管系統功能與疾病 |
|
| 招生人數: | ||
| 考試科目: | 【初試科目】 ①101思想政治理論 ②201英語一 ③306臨床醫學綜合能力(西醫) ④--無 【復試科目】 專業課筆試 生理學 |
|
| 備 注: | 1、招收跨專業考生 2、本專業不招收同等學力的考生 |
|
南昌大學基礎醫學院簡介
南昌大學基礎醫學院簡介基礎醫學院其前身是江西醫學院基礎醫學部,創建于1958年。是集教學、科研為一體教學業務部門。學院下設11個教研室(醫學遺傳學與生物學、人體解剖學、組織胚胎學、生理學、生物化學與分子生物學、微生物學、寄生蟲學、免疫學、病理生理學、病理解剖學和法醫學),8個研究室所 (腫瘤免疫研究室、腫瘤分子生物學研究室、遺傳研究室、變態反應研究室、生殖內分泌研究室、神經生物學研究室、腦血管研究所、法醫學研究所), 7個碩士授予點(人體解剖學與組織胚胎學、生物化學與分子生物學、生理學、遺傳學、病理學、病原生物學、免疫學),1個省高校重點實驗室(基礎醫學重點實驗室), 2個省普通高校重點學科 (生理學、人體解剖學與組織胚胎學), 5個學術團體的掛靠單位(江西省人體解剖學會、江西省生物化學與分子生物學會、江西省生理學會、江西省微生物學會和江西省病理學會)和 1個行政辦公室, 現任院長是梁尚棟教授,黨總支書記是余啟勝同志。
學院具有一支結構合理,素質優良的師資隊伍。現有教職工124人,其中專業技術人員113人,正高專業技術職稱18人,副高專業技術職稱33人,中級職稱47人,具有博士學位23人、碩士學位60人。近幾年來具有博士、碩士學位的教師比例顯著增加。現有省新世紀百千萬人才工程人選2人,省教育廳學科帶頭人7人,省教育廳中青年骨干教師2人,學院學科帶頭人4人,學院中青年骨干教師1人,省級突出貢獻人才及省級優秀教師2人,省級教學名師1人,享受國務院特殊津貼者4人,博士生導師5名、碩士生導師 19名。為基礎醫學院教師隊伍的穩定及教學質量的提高起到積極的作用。
學院承擔全校11個專業(臨床醫學、麻醉學、影像醫學、口腔醫學、預防醫學、法學、醫學檢驗、應用心理學、護理學、藥學、生物醫學工程)全日制本科的醫學基礎課,成人教育本、專科的醫學基礎課、全校醫科研究生和研究生課程班的基礎課、基礎醫學研究生的專業課等教學任務。現開設必修課18門、選修課6門,其中,病原生物學和人體解剖學為江西省普通高校精品課程。2000年至今共獲教改課題78項,其中省級以上教改課題15項,主編衛生部規劃教材2部,參編5部。我院高度重視教學質量,教學改革成果顯著,2000年至今共獲得高等教育國家級成果二等獎1項,省級教學成果獎4項(一等獎2項、二等獎2項)。
學院科學研究和學科建設成績喜人,2000以年來,我院共獲得各類科研項目103項(其中國家科技部863項目子課題1項、國家自然科學基金33項、國際合作項目1項、省部級科研課題45項),總金額約人民幣650萬元;獲省部級以上成果獎5項。
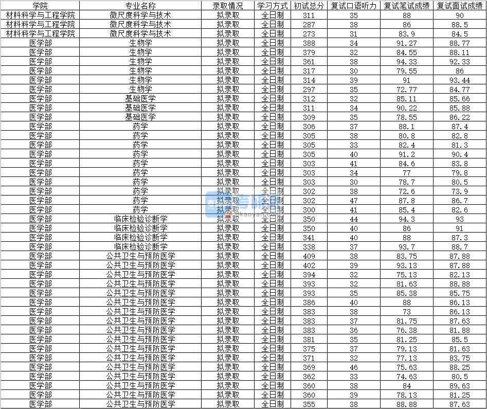
2020年南昌大學基礎醫學研究生錄取分數線
南昌大學基礎醫學考研的各位同學,2020年南昌大學基礎醫學研究生錄取名單終于公布了,南昌大學基礎醫學是一個不錯的專業,希望各位今年的考研分數線能過2020年南昌大學基礎醫學研究生錄取分數線,下面是2020年南昌大學研究生院公布的2020年南昌大學基礎醫學研究生錄取分數線和南昌大學基礎醫學研究生擬錄取名單。
2020年南昌大學基礎醫學研究生錄取分數線(或稱考研分數線)和南昌大學基礎醫學的研究生錄取分數線是兩個不同的概念,前者是進入南昌大學基礎醫學研究生復試的基本要求線,后者是2020年南昌大學基礎醫學研究生錄取分數線,包含了初試復試的綜合成績。本文是2020年南昌大學基礎醫學研究生錄取分數線,內容來自南昌大學研究生院相關網站,如有出入請以南昌大學官方網站公布的2020年南昌大學基礎醫學研究生錄取分數線為準。
以下是2020年南昌大學的研究生錄取名單,成績從高到底,供準備報考該專業研究生的同學參考:

基礎醫學考研院校
基本信息
專業名稱:基礎醫學 專業代碼:077800 門類/類別:理學 學科/類別:基礎醫學專業介紹
中山大學為例請查閱中山大學相關招生院系的網頁。
專業點分布
江蘇大學 中山大學專業院校排名本一級學科中,全國具有“博士授權”的高校共 43 所,本次參評38 所;部分具有“碩士授權”的高校 也參加了評估;參評高校共計 78 所(注:評估結果相同的高校排序不分先后,按學校代碼排列)。
| 序號 | 學校代碼 | 學校名稱 | 評選結果 |
| 1 | 10001 | 北京大學 | A+ |
| 2 | 10023 | 北京協和醫學院 | A+ |
| 3 | 10246 | 復旦大學 | A |
| 4 | 10248 | 上海交通大學 | A- |
| 5 | 10335 | 浙江大學 | A- |
| 6 | 10558 | 中山大學 | A- |
| 7 | 90030 | 第二軍醫大學 | A- |
| 8 | 10062 | 天津醫科大學 | B+ |
| 9 | 10285 | 蘇州大學 | B+ |
| 10 | 10312 | 南京醫科大學 | B+ |
| 11 | 10422 | 山東大學 | B+ |
| 12 | 10487 | 華中科技大學 | B+ |
| 13 | 10533 | 中南大學 | B+ |
| 14 | 10610 | 四川大學 | B+ |
| 15 | 12121 | 南方醫科大學 | B+ |
| 16 | 10025 | 首都醫科大學 | B |
| 17 | 10159 | 中國醫科大學 | B |
| 18 | 10161 | 大連醫科大學 | B |
| 19 | 10183 | 吉林大學 | B |
| 20 | 10247 | 同濟大學 | B |
| 21 | 10486 | 武漢大學 | B |
| 22 | 10698 | 西安交通大學 | B |
| 23 | 90032 | 第四軍醫大學 | B |
| 24 | 10055 | 南開大學 | B- |
| 25 | 10089 | 河北醫科大學 | B- |
| 26 | 10226 | 哈爾濱醫科大學 | B- |
| 27 | 10304 | 南通大學 | B- |
| 28 | 10459 | 鄭州大學 | B- |
| 29 | 10559 | 暨南大學 | B- |
| 30 | 10631 | 重慶醫科大學 | B- |
| 31 | 10730 | 蘭州大學 | B- |
| 32 | 10313 | 徐州醫科大學 | C+ |
| 33 | 10366 | 安徽醫科大學 | C+ |
| 34 | 10384 | 廈門大學 | C+ |
| 35 | 10403 | 南昌大學 | C+ |
| 36 | 10555 | 南華大學 | C+ |
| 37 | 10598 | 廣西醫科大學 | C+ |
| 38 | 10660 | 貴州醫科大學 | C+ |
| 39 | 11065 | 青島大學 | C+ |
| 40 | 10114 | 山西醫科大學 | C |
| 41 | 10472 | 新鄉醫學院 | C |
| 42 | 10560 | 汕頭大學 | C |
| 43 | 10570 | 廣州醫科大學 | C |
| 44 | 10678 | 昆明醫科大學 | C |
| 45 | 10752 | 寧夏醫科大學 | C |
| 46 | 10759 | 石河子大學 | C |
| 47 | 10081 | 華北理工大學 | C- |
| 48 | 10160 | 錦州醫科大學 | C- |
| 49 | 10299 | 江蘇大學 | C- |
| 50 | 10343 | 溫州醫科大學 | C- |
| 51 | 10367 | 蚌埠醫學院 | C- |
| 52 | 10542 | 湖南師范大學 | C- |
| 53 | 10601 | 桂林醫學院 | C- |
| 54 | 10760 | 新疆醫科大學 | C- |
基礎醫學考研考什么
基礎醫學專業基本信息:
考生在報考專業前一定要非常了解自己報考的專業以及學校,越考考研網在這邊搜集了專業的相關信息,僅供參考。
專業名稱:基礎醫學 專業代碼:077800 門類/類別:理學 學科/類別:基礎醫學
2021基礎醫學專業考研群
南昌大學基礎醫學考研 推薦
- 南昌大學基礎醫學考研
- 南昌大學基礎醫學考研參考書目
- 南昌大學基礎醫學考研QQ群
- 南昌大學基礎醫學考研難嗎
- 南昌大學基礎醫學考研考試科目
- 南昌大學基礎醫學研究生分數線
- 南昌大學基礎醫學研究生一對一輔導
- 南昌大學基礎醫學研究生輔導
- 南昌大學基礎醫學考研輔導
- 武漢科技大學基礎醫學考研
- 中山大學基礎醫學考研
- 中山大學基礎醫學考研
- 新鄉醫學院基礎醫學考研
- 中山大學基礎醫學考研
- 南華大學基礎醫學考研
- 深圳大學基礎醫學考研
- 中山大學基礎醫學考研
- 新鄉醫學院基礎醫學考研
- 河南科技大學基礎醫學考研
- 中山大學基礎醫學考研
- 新鄉醫學院基礎醫學考研
- 江蘇大學基礎醫學考研
- 湖南中醫藥大學基礎醫學考研
- 中山大學基礎醫學考研
- 南華大學基礎醫學考研
- 武漢大學基礎醫學考研
- 中山大學基礎醫學考研
- 河南科技大學基礎醫學考研
- 中國藥科大學基礎醫學考研
- 新鄉醫學院基礎醫學考研
- 長江大學基礎醫學考研
- 南華大學基礎醫學考研
- 南京大學基礎醫學考研
- 南華大學基礎醫學考研
- 新鄉醫學院基礎醫學考研
- 南昌大學基礎醫學考研
- 北京航空航天大學基礎醫學考研
- 新鄉醫學院基礎醫學考研
- 武漢大學基礎醫學考研
- 東南大學基礎醫學考研
- 新鄉醫學院基礎醫學考研
- 贛南醫學院基礎醫學考研
- 江蘇大學基礎醫學考研
- 廣東藥科大學基礎醫學考研
- 清華大學基礎醫學考研
- 大理大學基礎醫學考研
- 新鄉醫學院基礎醫學考研
- 中山大學基礎醫學考研
- 西藏大學基礎醫學考研
- 三峽大學基礎醫學考研
- 浙江中醫藥大學基礎醫學考研
- 中山大學基礎醫學考研
關于我們
以下資料由南昌大學基礎醫學研究生團隊整理提供,其團隊成員覆蓋各個院系,專門搜集本校的考研真題和高分筆記、題庫等資料。
專業課資料作為考研核心資料,部分專業重題概率極高,必須吃透,反復復習。如有需要高分研究生學長一對一輔導的,也可聯系我們安排。
考研派網站,為大家提供安全的交易平臺,資料有任何問題,均可向我們投訴,我們會督促考研派研究生團隊解決問題,保障同學們的權益。
最新購買
手機商城
掃描二維碼,更便捷的購買資料
不僅有商品,還有更多資訊和活動

