北京科技大學國際貿易學考研
北京科技大學微信
研究生為你答疑,送資源

研究生為你答疑,送資源

95%的同學還閱讀了:[北京科技大學考研真題免費下載] [北京科技大學歷年保研筆試/面試真題匯.pdf] [北京科技大學預推免信息匯總表.xls] [北京科技大學保研生源分析表.xls]
[北京科技大學研究生招生目錄]
[北京科技大學研究生分數線]
[北京科技大學王牌專業排名]
[北京科技大學考研難嗎]
[北京科技大學研究生院]
[北京科技大學考研群]
[北京科技大學研究生學費]
[北京科技大學研究生輔導]
[考研國家線(歷年匯總)]
[年考研時間:報名日期和考試時間]
因為北京科技大學國際貿易學專業研究生數量有限,愿意做考研輔導的數量不確定,請加我們顧問的微信進行咨詢和確認,搶先預訂研究生,以免錯失研究生輔導機會。
北京科技大學是一個不錯的學校,深受考研人的追捧,本校每年會有數千名研究生招生的名額,研究生報考錄取比在3:1左右,難度中等,部分熱門的研究生專業研究生報考錄取比會更高一點,請各位準備報考北京科技大學國際貿易學考研的同學注意: 北京科技大學國際貿易學研究生錄取分數線(或稱考研分數線)的數據。因為每年都有不少人報考北京科技大學國際貿易學考研,競爭激烈,所以強烈建議各位準備考北京科技大學國際貿易學研究生的考研人準備一些基本的歷年考研真題、 研究生學姐學長的筆記、考研經驗等等(考研派有考研經驗頻道,也有考研派微信公眾號、考研派APP等產品平臺,里面有不少研究生會免費解答你的考研問題,助你考研一臂之力),另外考研派也會為大家北京科技大學國際貿易學考研的參考書目、考研大綱、研究生招生咨詢電話等聯系方式。希望你考取北京科技大學 國際貿易學專業研究生,考研是個孤獨的事情,需要耐得住寂寞,祝愿各位考研的學生好好復習備考,來年上個985/211,實現自己的名校研究生夢想。
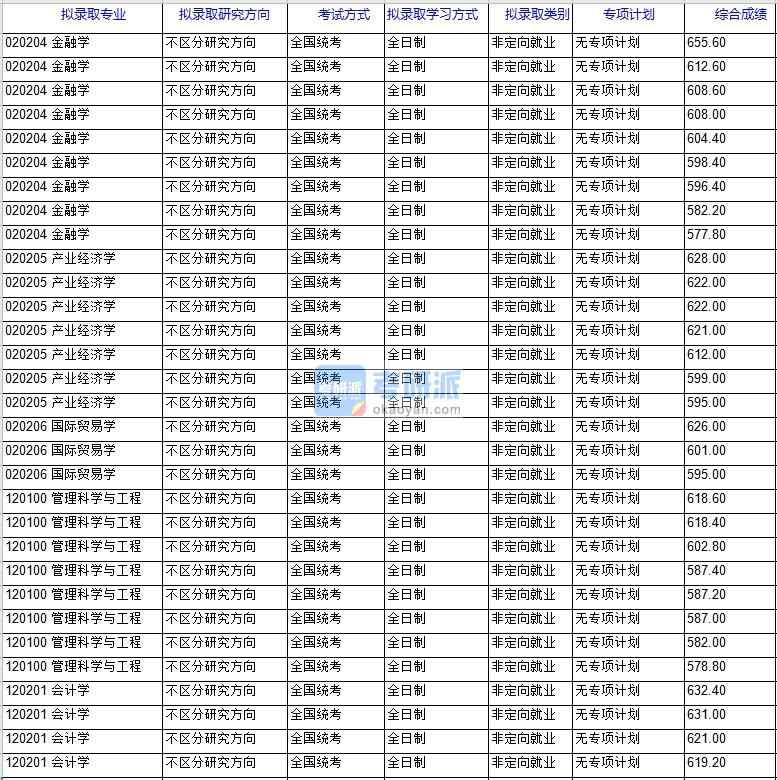
北京科技大學國際貿易學2020年研究生錄取分數線
北京科技大學國際貿易學考研的各位同學,2020年北京科技大學國際貿易學研究生錄取名單終于公布了,北京科技大學國際貿易學是一個不錯的專業,希望各位今年的考研分數線能過北京科技大學國際貿易學2020年的錄取分數線,下面是2020年北京科技大學研究生院公布的北京科技大學國際貿易學2020年研究生錄取分數線和北京科技大學國際貿易學研究生擬錄取名單。
北京科技大學國際貿易學2020年研究生復試分數線(或稱考研分數線)和北京科技大學國際貿易學的研究生錄取分數線是兩個不同的概念,前者是進入北京科技大學國際貿易學研究生復試的基本要求線,后者是北京科技大學國際貿易學研究生的錄取分數線,包含了初試復試的綜合成績。本文是北京科技大學國際貿易學2020年研究生錄取分數線,內容來自北京科技大學研究生院相關網站,如有出入請以北京科技大學官方網站公布的北京科技大學國際貿易學2020年研究生錄取分數線為準。
以下是2020年北京科技大學的研究生錄取名單,成績從高到底,供準備報考該專業研究生的同學參考:

2021北京科技大學國際貿易學020206考研科目及參考書目
國際貿易學 [020206] 學術學位
專業信息
- 所屬院校:北京科技大學
- 招生年份:2021年
- 招生類別:全日制研究生
- 所屬學院:經濟管理學院
- 所屬門類代碼、名稱:[02]經濟學
- 所屬一級學科代碼、名稱:[02]應用經濟學
專業招生詳情
| 研究方向: | 01 國際貿易(全日制) 02 國際經濟(全日制) 03 國際投資(全日制) 04 跨國公司(全日制) |
|
| 招生人數: | 10 | |
| 考試科目: | ①101 思想政治理論 ②201 英語一 ③303 數學三 ④824 管理學與經濟學基礎 復試科目:561 國際貿易學 |
|
| 備 注: | 本專業不招收同等學力考生 全日制擬招人數:10 推免生擬招人數:7 |
|
北京科技大學國際貿易學020206考研科目及參考書目
國際貿易學 [020206] 學術學位
專業信息
- 所屬院校:北京科技大學
- 招生年份:2020年
- 招生類別:全日制研究生
- 所屬學院:東凌經濟管理學院
- 所屬門類代碼、名稱:[02]經濟學
- 所屬一級學科代碼、名稱:[02]應用經濟學
專業招生詳情
| 研究方向: | 01 國際貿易(全日制) 02 國際經濟(全日制) 03 國際投資(全日制) 04 跨國公司(全日制) |
|
| 招生人數: | 10 | |
| 考試科目: | ①101 思想政治理論 ②201 英語一 ③303 數學三 ④824 管理學與經濟學基礎 |
|
| 備 注: | 復試科目:561 國際貿易學 | |
2021北京科技大學國際貿易學020206考研科目及參考書目
國際貿易學 [020206] 學術學位
專業信息
- 所屬院校:北京科技大學
- 招生年份:2021年
- 招生類別:全日制研究生
- 所屬學院:經濟管理學院
- 所屬門類代碼、名稱:[02]經濟學
- 所屬一級學科代碼、名稱:[02]應用經濟學
專業招生詳情
| 研究方向: | 01 國際貿易(全日制) 02 國際經濟(全日制) 03 國際投資(全日制) 04 跨國公司(全日制) |
|
| 招生人數: | 10 | |
| 考試科目: | ①101 思想政治理論 ②201 英語一 ③303 數學三 ④824 管理學與經濟學基礎 復試科目:561 國際貿易學 |
|
| 備 注: | 本專業不招收同等學力考生 全日制擬招人數:10 推免生擬招人數:7 |
|
國際貿易學考研院校
專業名稱:國際貿易學 專業代碼:020206 門類/類別:經濟學 學科/類別:應用經濟學開設專業院校:
北京師范大學 北京第二外國語學院 中央財經大學 北京物資學院 中國人民大學 北京航空航天大學 北京理工大學 北京工商大學 中國農業大學 北京林業大學 北京科技大學 對外經濟貿易大學 商務部國際貿易經濟合作研究院 中國政法大學 中國社會科學院大學 天津工業大學 南開大學 天津商業大學 天津財經大學 河北經貿大學 河北大學 山西財經大學 內蒙古財經大學 東北財經大學 大連海事大學 遼寧大學 大連理工大學 沈陽工業大學 沈陽理工大學 東北大學 吉林財經大學 東北師范大學 長春工業大學 吉林大學 哈爾濱商業大學 哈爾濱工業大學 黑龍江大學 哈爾濱工程大學 東北林業大學 東北農業大學 上海社會科學院 上海海事大學 復旦大學 同濟大學 上海交通大學 上海理工大學 東華大學 華東師范大學 上海外國語大學 上海財經大學 華東政法大學 上海對外經貿大學 南京審計大學 蘇州大學 東南大學 南京航空航天大學 南京理工大學 江南大學 南京財經大學 南京大學 南京農業大學 江蘇大學 寧波大學 浙江工商大學 浙江大學 杭州電子科技大學 安徽大學 安徽財經大學 安徽工業大學 合肥工業大學 福州大學 廈門大學 江西財經大學 山東財經大學 山東大學 中國海洋大學 青島科技大學 山東農業大學 山東工商學院 河南財經政法大學 鄭州大學 河南工業大學 河南大學 武漢大學 華中科技大學 武漢理工大學 華中農業大學 中南財經政法大學 湖北大學 中南大學 湘潭大學 廣東工業大學 廣東財經大學 中山大學 華南農業大學 暨南大學 深圳大學 廣西大學 海南大學 重慶理工大學 重慶工商大學 重慶大學 西南民族大學 四川大學 西南財經大學 貴州財經大學 貴州大學 云南財經大學 云南師范大學 云南大學 西北大學 西安交通大學 西安理工大學 陜西師范大學 西安財經學院 蘭州財經大學 新疆財經大學
專業解析:
以天津商業大學為例一、學科概況
國際貿易學是研究國家(地區)間商品與勞務交換的理論與方法的學科,是一門理論與實踐緊密結合,具有很強實踐性和應用性特點的學科。它同世界經濟學、金融學、國際法學等學科關系密切。它對推動國際經濟交流與合作,促進各國和全球經濟發展有著重要作用。在全球經濟一體化日益增強的背景下,具有廣闊的發展前景。隨著我國對外開放的深入,國際貿易在我國經濟發展建設中的地位大大提高,國際貿易理論研究就顯得尤為重要。本學科將為我國經濟與國際經濟接軌做出有益的貢獻。
國際貿易專業碩士點設立于2003年,歸屬于天津商業大學經濟學院。盡管國際貿易專業碩士點是一個新建的碩士點,但卻有著雄厚的師資力量和支撐學科發展的國際貿易和世界經濟教研科室,尤為突出的是WTO研究中心和現代日本經濟研究所的設立,為該學科的發展奠定了基礎。
天津商業大學從事國際貿易學專業教學與研究的教師共有18人,其中教授5人、副教授5人、博士5人,在讀博士7人, 45歲以下的教師占85%。年富力強,精明強干是國際貿易專業學術團隊的一大特點。最為突出的是該專業科研成果突出,承擔省部級以上課題15項,獲省部級獎4項,在國內核心期刊發表論文百余篇,出版專著或教材50多部,一些成果產生了一定的社會影響。
二、培養目標
本學科致力于培養堅持馬克思主義經濟理論為指導,堅持改革開放,具有嚴謹求實的思想作風和較高精神文明修養,德智體全面發展,努力為建設中國特色社會主義服務的高層次專門人才。
本學科培養目標要求學生具有扎實的經濟學理論基礎,掌握國際經濟學基本原理和較系統的國際貿易專門知識;較為熟練地掌握一門外語并能閱讀本專業的外文資料;能夠理論聯系實際,具有觀察分析國際經濟關系與國際貿易問題的能力;畢業后可承擔本學科教學、科研工作和中高層的對外貿易管理工作。
三、研究方向
國際貿易學專業下設三個研究方向
?。?)國際貿易政策研究
(2)中日經貿關系研究
(3)服務業與服務貿易研究
此專業大學排名:
0202 應用經濟學本一級學科中,全國具有“博士授權”的高校共 66 所,本次參評58 所;部分具有“碩士授權”的高校 也參加了評估;參評高校共計 155 所(注:評估結果相同的高校排序不分先后,按學校代碼排列)
| 序號 | 學校代碼 | 學校名稱 | 評選結果 |
| 1 | 10001 | 北京大學 | A+ |
| 2 | 10002 | 中國人民大學 | A+ |
| 3 | 10034 | 中央財經大學 | A+ |
| 4 | 10036 | 對外經濟貿易大學 | A |
| 5 | 10173 | 東北財經大學 | A |
| 6 | 10272 | 上海財經大學 | A |
| 7 | 10384 | 廈門大學 | A |
| 8 | 10003 | 清華大學 | A- |
| 9 | 10055 | 南開大學 | A- |
| 10 | 10246 | 復旦大學 | A- |
| 11 | 10421 | 江西財經大學 | A- |
| 12 | 10422 | 山東大學 | A- |
| 13 | 10520 | 中南財經政法大學 | A- |
| 14 | 10651 | 西南財經大學 | A- |
| 15 | 10698 | 西安交通大學 | A- |
| 16 | 10004 | 北京交通大學 | B+ |
| 17 | 10038 | 首都經濟貿易大學 | B+ |
| 18 | 10070 | 天津財經大學 | B+ |
| 19 | 10140 | 遼寧大學 | B+ |
| 20 | 10183 | 吉林大學 | B+ |
| 21 | 10284 | 南京大學 | B+ |
| 22 | 10286 | 東南大學 | B+ |
| 23 | 10335 | 浙江大學 | B+ |
| 24 | 10353 | 浙江工商大學 | B+ |
| 25 | 10456 | 山東財經大學 | B+ |
| 26 | 10486 | 武漢大學 | B+ |
| 27 | 10487 | 華中科技大學 | B+ |
| 28 | 10532 | 湖南大學 | B+ |
| 29 | 10558 | 中山大學 | B+ |
| 30 | 10559 | 暨南大學 | B+ |
| 31 | 11482 | 浙江財經大學 | B+ |
| 32 | 10007 | 北京理工大學 | B |
| 33 | 10011 | 北京工商大學 | B |
| 34 | 10125 | 山西財經大學 | B |
| 35 | 10141 | 大連理工大學 | B |
| 36 | 10247 | 同濟大學 | B |
| 37 | 10269 | 華東師范大學 | B |
| 38 | 10273 | 上海對外經貿大學 | B |
| 39 | 10280 | 上海大學 | B |
| 40 | 10327 | 南京財經大學 | B |
| 41 | 10357 | 安徽大學 | B |
| 42 | 10423 | 中國海洋大學 | B |
| 43 | 10497 | 武漢理工大學 | B |
| 44 | 10593 | 廣西大學 | B |
| 45 | 10611 | 重慶大學 | B |
| 46 | 10689 | 云南財經大學 | B |
| 47 | 10200 | 東北師范大學 | B- |
| 48 | 10240 | 哈爾濱商業大學 | B- |
| 49 | 10251 | 華東理工大學 | B- |
| 50 | 10285 | 蘇州大學 | B- |
| 51 | 10319 | 南京師范大學 | B- |
| 52 | 10337 | 浙江工業大學 | B- |
| 53 | 10378 | 安徽財經大學 | B- |
| 54 | 10385 | 華僑大學 | B- |
| 55 | 10475 | 河南大學 | B- |
| 56 | 10491 | 中國地質大學 | B- |
| 57 | 10534 | 湖南科技大學 | B- |
| 58 | 10610 | 四川大學 | B- |
| 59 | 10730 | 蘭州大學 | B- |
| 60 | 11799 | 重慶工商大學 | B- |
| 61 | 11846 | 廣東外語外貿大學 | B- |
| 62 | 90026 | 軍事經濟學院 | B- |
| 63 | 10027 | 北京師范大學 | C+ |
| 64 | 10207 | 吉林財經大學 | C+ |
| 65 | 10403 | 南昌大學 | C+ |
| 66 | 10427 | 濟南大學 | C+ |
| 67 | 10459 | 鄭州大學 | C+ |
| 68 | 10484 | 河南財經政法大學 | C+ |
| 69 | 10511 | 華中師范大學 | C+ |
| 70 | 10536 | 長沙理工大學 | C+ |
| 71 | 10574 | 華南師范大學 | C+ |
| 72 | 10592 | 廣東財經大學 | C+ |
| 73 | 10697 | 西北大學 | C+ |
| 74 | 10766 | 新疆財經大學 | C+ |
| 75 | 11560 | 西安財經學院 | C+ |
| 76 | 11646 | 寧波大學 | C+ |
| 77 | 11832 | 河北經貿大學 | C+ |
| 78 | 10008 | 北京科技大學 | C |
| 79 | 10075 | 河北大學 | C |
| 80 | 10126 | 內蒙古大學 | C |
| 81 | 10270 | 上海師范大學 | C |
| 82 | 10276 | 華東政法大學 | C |
| 83 | 10290 | 中國礦業大學 | C |
| 84 | 10295 | 江南大學 | C |
| 85 | 10299 | 江蘇大學 | C |
| 86 | 10320 | 江蘇師范大學 | C |
| 87 | 10338 | 浙江理工大學 | C |
| 88 | 10433 | 山東理工大學 | C |
| 89 | 10589 | 海南大學 | C |
| 90 | 10652 | 西南政法大學 | C |
| 91 | 10656 | 西南民族大學 | C |
| 92 | 10671 | 貴州財經大學 | C |
| 93 | 10673 | 云南大學 | C |
| 94 | 10741 | 蘭州財經大學 | C |
| 95 | 11287 | 南京審計大學 | C |
| 96 | 11414 | 中國石油大學 | C |
| 97 | 10052 | 中央民族大學 | C- |
| 98 | 10053 | 中國政法大學 | C- |
| 99 | 10058 | 天津工業大學 | C- |
| 100 | 10069 | 天津商業大學 | C- |
| 101 | 10139 | 內蒙古財經大學 | C- |
| 102 | 10360 | 安徽工業大學 | C- |
| 103 | 10602 | 廣西師范大學 | C- |
| 104 | 10657 | 貴州大學 | C- |
| 105 | 10681 | 云南師范大學 | C- |
| 106 | 10718 | 陜西師范大學 | C- |
| 107 | 10759 | 石河子大學 | C- |
| 108 | 11664 | 西安郵電大學 | C- |
國際貿易學研究生院校排名
全國第四輪學科評估結果(2017年)0202 應用經濟學:
本一級學科中,全國具有“博士授權”的高校共 66 所,本次參評58 所;部分具有“碩士授權”的高校 也參加了評估;參評高校共計 155 所(注:評估結果相同的高校排序不分先后,按學校代碼排列)
| 序號 | 學校代碼 | 學校名稱 | 評選結果 |
| 1 | 10001 | 北京大學 | A+ |
| 2 | 10002 | 中國人民大學 | A+ |
| 3 | 10034 | 中央財經大學 | A+ |
| 4 | 10036 | 對外經濟貿易大學 | A |
| 5 | 10173 | 東北財經大學 | A |
| 6 | 10272 | 上海財經大學 | A |
| 7 | 10384 | 廈門大學 | A |
| 8 | 10003 | 清華大學 | A- |
| 9 | 10055 | 南開大學 | A- |
| 10 | 10246 | 復旦大學 | A- |
| 11 | 10421 | 江西財經大學 | A- |
| 12 | 10422 | 山東大學 | A- |
| 13 | 10520 | 中南財經政法大學 | A- |
| 14 | 10651 | 西南財經大學 | A- |
| 15 | 10698 | 西安交通大學 | A- |
| 16 | 10004 | 北京交通大學 | B+ |
| 17 | 10038 | 首都經濟貿易大學 | B+ |
| 18 | 10070 | 天津財經大學 | B+ |
| 19 | 10140 | 遼寧大學 | B+ |
| 20 | 10183 | 吉林大學 | B+ |
| 21 | 10284 | 南京大學 | B+ |
| 22 | 10286 | 東南大學 | B+ |
| 23 | 10335 | 浙江大學 | B+ |
| 24 | 10353 | 浙江工商大學 | B+ |
| 25 | 10456 | 山東財經大學 | B+ |
| 26 | 10486 | 武漢大學 | B+ |
| 27 | 10487 | 華中科技大學 | B+ |
| 28 | 10532 | 湖南大學 | B+ |
| 29 | 10558 | 中山大學 | B+ |
| 30 | 10559 | 暨南大學 | B+ |
| 31 | 11482 | 浙江財經大學 | B+ |
| 32 | 10007 | 北京理工大學 | B |
| 33 | 10011 | 北京工商大學 | B |
| 34 | 10125 | 山西財經大學 | B |
| 35 | 10141 | 大連理工大學 | B |
| 36 | 10247 | 同濟大學 | B |
| 37 | 10269 | 華東師范大學 | B |
| 38 | 10273 | 上海對外經貿大學 | B |
| 39 | 10280 | 上海大學 | B |
| 40 | 10327 | 南京財經大學 | B |
| 41 | 10357 | 安徽大學 | B |
| 42 | 10423 | 中國海洋大學 | B |
| 43 | 10497 | 武漢理工大學 | B |
| 44 | 10593 | 廣西大學 | B |
| 45 | 10611 | 重慶大學 | B |
| 46 | 10689 | 云南財經大學 | B |
| 47 | 10200 | 東北師范大學 | B- |
| 48 | 10240 | 哈爾濱商業大學 | B- |
| 49 | 10251 | 華東理工大學 | B- |
| 50 | 10285 | 蘇州大學 | B- |
| 51 | 10319 | 南京師范大學 | B- |
| 52 | 10337 | 浙江工業大學 | B- |
| 53 | 10378 | 安徽財經大學 | B- |
| 54 | 10385 | 華僑大學 | B- |
| 55 | 10475 | 河南大學 | B- |
| 56 | 10491 | 中國地質大學 | B- |
| 57 | 10534 | 湖南科技大學 | B- |
| 58 | 10610 | 四川大學 | B- |
| 59 | 10730 | 蘭州大學 | B- |
| 60 | 11799 | 重慶工商大學 | B- |
| 61 | 11846 | 廣東外語外貿大學 | B- |
| 62 | 90026 | 軍事經濟學院 | B- |
| 63 | 10027 | 北京師范大學 | C+ |
| 64 | 10207 | 吉林財經大學 | C+ |
| 65 | 10403 | 南昌大學 | C+ |
| 66 | 10427 | 濟南大學 | C+ |
| 67 | 10459 | 鄭州大學 | C+ |
| 68 | 10484 | 河南財經政法大學 | C+ |
| 69 | 10511 | 華中師范大學 | C+ |
| 70 | 10536 | 長沙理工大學 | C+ |
| 71 | 10574 | 華南師范大學 | C+ |
| 72 | 10592 | 廣東財經大學 | C+ |
| 73 | 10697 | 西北大學 | C+ |
| 74 | 10766 | 新疆財經大學 | C+ |
| 75 | 11560 | 西安財經學院 | C+ |
| 76 | 11646 | 寧波大學 | C+ |
| 77 | 11832 | 河北經貿大學 | C+ |
| 78 | 10008 | 北京科技大學 | C |
| 79 | 10075 | 河北大學 | C |
| 80 | 10126 | 內蒙古大學 | C |
| 81 | 10270 | 上海師范大學 | C |
| 82 | 10276 | 華東政法大學 | C |
| 83 | 10290 | 中國礦業大學 | C |
| 84 | 10295 | 江南大學 | C |
| 85 | 10299 | 江蘇大學 | C |
| 86 | 10320 | 江蘇師范大學 | C |
| 87 | 10338 | 浙江理工大學 | C |
| 88 | 10433 | 山東理工大學 | C |
| 89 | 10589 | 海南大學 | C |
| 90 | 10652 | 西南政法大學 | C |
| 91 | 10656 | 西南民族大學 | C |
| 92 | 10671 | 貴州財經大學 | C |
| 93 | 10673 | 云南大學 | C |
| 94 | 10741 | 蘭州財經大學 | C |
| 95 | 11287 | 南京審計大學 | C |
| 96 | 11414 | 中國石油大學 | C |
| 97 | 10052 | 中央民族大學 | C- |
| 98 | 10053 | 中國政法大學 | C- |
| 99 | 10058 | 天津工業大學 | C- |
| 100 | 10069 | 天津商業大學 | C- |
| 101 | 10139 | 內蒙古財經大學 | C- |
| 102 | 10360 | 安徽工業大學 | C- |
| 103 | 10602 | 廣西師范大學 | C- |
| 104 | 10657 | 貴州大學 | C- |
| 105 | 10681 | 云南師范大學 | C- |
| 106 | 10718 | 陜西師范大學 | C- |
| 107 | 10759 | 石河子大學 | C- |
| 108 | 11664 | 西安郵電大學 | C- |
數據來源:教育部學位與研究生教育發展中心
2007年國際貿易學專業學校排名
| 排名 | 學校名稱 | 等級 | 排名 | 學校名稱 | 等級 | 排名 | 學校名稱 | 等級 |
| 1 | 對外經濟貿易大學 | A+ | 8 | 復旦大學 | A | 15 | 中山大學 | A |
| 2 | 南開大學 | A+ | 9 | 中國人民大學 | A | 16 | 中央財經大學 | A |
| 3 | 浙江大學 | A+ | 10 | 上海財經大學 | A | 17 | 寧波大學 | A |
| 4 | 東北財經大學 | A+ | 11 | 中南財經政法大學 | A | 18 | 南京農業大學 | A |
| 5 | 湖南大學 | A+ | 12 | 南京大學 | A | 19 | 西南財經大學 | A |
| 6 | 廈門大學 | A | 13 | 遼寧大學 | A | 20 | 華中科技大學 | A |
| 7 | 武漢大學 | A | 14 | 西安交通大學 | A | |||
|
B+等(30個):浙江工業大學、暨南大學、上海大學、哈爾濱工業大學、吉林大學、山東大學、上海對外貿易學院、東南大學、北京工業大學、天津財經大學、北京師范大學、廣東商學院、上海交通大學、清華大學、廣東外語外貿大學、江西財經大學、湖北大學、江南大學、廣西大學、大連理工大學、黑龍江大學、長春稅務學院、上海海事大學、重慶大學、山西財經大學、安徽財經大學、江蘇大學、蘭州商學院、山東財政學院、中國農業大學 |
||||||||
|
B等(30個):浙江工商大學、深圳大學、中國海洋大學、北京理工大學、北京第二外國語學院、上海外國語大學、安徽大學、西北大學、貴州財經學院、沈陽工業大學、上海理工大學、山東經濟學院、東華大學、首都經濟貿易大學、天津工業大學、云南財經大學、中南大學、天津商業大學、華東師范大學、河北工業大學、大連海事大學、華南農業大學、長春工業大學、云南大學、北京航空航天大學、北京科技大學、華中農業大學、華東理工大學、南京理工大學、四川大學 |
||||||||
|
C等(21個):名單略 |
||||||||
2015-2016年國際貿易學專業學校排名
|
|
|
|
|
| 1 | 對外經濟貿易大學 | 5★ | 165 |
| 2 | 南開大學 | 5★ | 165 |
| 3 | 中國人民大學 | 5★ | 165 |
| 4 | 中央財經大學 | 5★ | 165 |
| 5 | 廈門大學 | 5★ | 165 |
| 6 | 天津財經大學 | 5★ | 165 |
| 7 | 東北財經大學 | 5★ | 165 |
| 8 | 中國農業大學 | 5★ | 165 |
| 9 | 浙江工業大學 | 5★ | 165 |
| 10 | 上海交通大學 | 4★ | 165 |
| 11 | 暨南大學 | 4★ | 165 |
| 12 | 中南財經政法大學 | 4★ | 165 |
| 13 | 清華大學 | 4★ | 165 |
| 14 | 武漢大學 | 4★ | 165 |
| 15 | 湖南大學 | 4★ | 165 |
| 16 | 東南大學 | 4★ | 165 |
| 17 | 華中科技大學 | 4★ | 165 |
| 18 | 西南財經大學 | 4★ | 165 |
| 19 | 浙江工商大學 | 4★ | 165 |
| 20 | 西安交通大學 | 4★ | 165 |
國際貿易學考研考什么
國際貿易學研究生考試科目:| 招生院系及代碼 | 二級學科名稱及代碼 | 考試科目 | 復試內容及辦法 |
| 010經濟學院 | 020206國際貿易學 |
①101政治 ②201英一 ③303數學三 ④801經濟學綜合(含西方經濟學、國際經濟學) |
1.英語聽力測試、口語面試2.就個人在經濟學方面的最具代表性的成果(如課程論文)或研究計劃進行陳述與答辯3.本專業綜合知識面試 |
國際貿易學考研參考書:
1.《微觀經濟學》(第七版)中國人民大學出版社,2009年,[美]羅伯特•S•平狄克,丹尼爾•L•魯賓費爾德著,高遠等譯;
2.《宏觀經濟學》(第十版)中國人民大學出版社,2009/2010年,[美] 多恩布什,費希爾,斯塔茲 著,王志偉譯;
3.《西方經濟學》(第五版)中國人民大學出版社,2011年,高鴻業;
4.專業英語(經濟類),不指定參考書。
國際貿易學研究生就業方向:
1,企業外貿部門中從事一般性進出口業務的談判、生活及工作接待專業人員,一般貿易交往中各種資料、合同的草擬、貿易交易實務、結算實用型專業人員。
2,三資企業中從事和參與企業貿易外事活動的實用型專業人員。
2,三資企業中從事和參與企業貿易外事活動的實用型專業人員。
3,旅游業、對外飲食服務和其它行業中,從事商貿活動,經營的實用型專業人員。
4,跟經濟相關的職業如銀行、證券公司、期貨公司、保險等專業人員?!H貿易學專業就業率在所有專業中名列前茅,尤其是中國加入WTO后,對外貿人才的需求迅速提高。
2022國際貿易學專業考研群
微信搜索公眾號“考研派之家”,關注【考研派之家】微信公眾號,在考研派之家微信號輸入【北京科技大學考研分數線、北京科技大學報錄比、北京科技大學考研群、北京科技大學學姐、北京科技大學考研真題、北京科技大學專業目錄、北京科技大學排名、北京科技大學保研、北京科技大學公眾號、北京科技大學研究生招生)】即可在手機上查看相對應北京科技大學考研信息或資源。

北京科技大學國際貿易學考研 推薦
- 北京科技大學國際貿易學考研
- 北京科技大學國際貿易學考研參考書目
- 北京科技大學國際貿易學考研QQ群
- 北京科技大學國際貿易學考研難嗎
- 北京科技大學國際貿易學考研考試科目
- 北京科技大學國際貿易學研究生分數線
- 北京科技大學國際貿易學研究生一對一輔導
- 北京科技大學國際貿易學研究生輔導
- 北京科技大學國際貿易學考研輔導
- 北京科技大學國際貿易學考研參考書目
- 北京科技大學東凌經濟管理學院國際貿易學保研夏令營
- 北京科技大學東凌經濟管理學院國際貿易學保研
- 北京科技大學東凌經濟管理學院國際貿易學保研細則
- 北京科技大學東凌經濟管理學院國際貿易學保研條件
- 北京科技大學東凌經濟管理學院保研夏令營
- 北京科技大學國際貿易學考研論壇
- 北京科技大學國際貿易學考研分數線
- 北京科技大學國際貿易學考研真題
- 南京師范大學國際貿易學考研
- 江西理工大學國際貿易學考研
- 云南財經大學國際貿易學考研
- 華東師范大學國際貿易學考研
- 天津師范大學國際貿易學考研
- 廣東外語外貿大學國際貿易學考研
- 東北財經大學國際貿易學考研
- 北京外國語大學國際貿易學考研
- 福建師范大學國際貿易學考研
- 蘇州大學國際貿易學考研
- 東北大學國際貿易學考研
- 南京航空航天大學國際貿易學考研
- 鄭州大學國際貿易學考研
- 河海大學國際貿易學考研
- 中國人民大學國際貿易學考研
- 華南農業大學國際貿易學考研
- 云南財經大學國際貿易學考研
- 貴州財經大學國際貿易學考研
- 山東工商學院國際貿易學考研
- 云南民族大學國際貿易學考研
- 昆明理工大學國際貿易學考研
- 寧波大學國際貿易學考研
- 北京航空航天大學國際貿易學考研
- 中央民族大學國際貿易學考研
- 長春工業大學國際貿易學考研
- 西北師范大學國際貿易學考研
- 東北農業大學國際貿易學考研
- 沈陽工業大學國際貿易學考研
- 南京財經大學國際貿易學考研
- 北京師范大學國際貿易學考研
- 中央財經大學國際貿易學考研
- 景德鎮陶瓷大學國際貿易學考研
- 中原工學院國際貿易學考研
- 沈陽理工大學國際貿易學考研
- 重慶理工大學國際貿易學考研
- 中央財經大學國際貿易學考研
- 南京理工大學國際貿易學考研
- 合肥工業大學國際貿易學考研
- 青島科技大學國際貿易學考研
- 山西財經大學國際貿易學考研
- 山東大學國際貿易學考研
- 河南大學國際貿易學考研
- 武漢大學國際貿易學考研
- 上海理工大學國際貿易學考研
- 南開大學國際貿易學考研
- 西藏大學國際貿易學考研
- 中國政法大學國際貿易學考研
- 湖北工業大學國際貿易學考研
- 東北師范大學國際貿易學考研
- 廈門大學國際貿易學考研
- 華南師范大學國際貿易學考研
- 首都經濟貿易大學國際貿易學考研
- 北京工商大學國際貿易學考研
- 安徽財經大學國際貿易學考研
- 河北大學國際貿易學考研
- 上海對外經貿大學國際貿易學考研
- 大連理工大學國際貿易學考研
- 華中師范大學國際貿易學考研
- 廣東財經大學國際貿易學考研
- 重慶大學國際貿易學考研
北京科技大學研究生學姐

加學姐,獲免費答疑,進考研群
北京科技大學考研網由北京科技大學研究生維護,發布最新的北京科技大學研究生招生信息,還提供北京科技大學研究生1對1輔導和考研真題等服務,有問題請加微信溝通。
