北京科技大學管理科學與工程考研
北京科技大學微信
研究生為你答疑,送資源

研究生為你答疑,送資源

95%的同學還閱讀了:[北京科技大學考研真題免費下載] [北京科技大學歷年保研筆試/面試真題匯.pdf] [北京科技大學預推免信息匯總表.xls] [北京科技大學保研生源分析表.xls]
[北京科技大學研究生招生目錄]
[北京科技大學研究生分數線]
[北京科技大學王牌專業排名]
[北京科技大學考研難嗎]
[北京科技大學研究生院]
[北京科技大學考研群]
[北京科技大學研究生學費]
[北京科技大學研究生輔導]
[考研國家線(歷年匯總)]
[年考研時間:報名日期和考試時間]
因為北京科技大學管理科學與工程專業研究生數量有限,愿意做考研輔導的數量不確定,請加我們顧問的微信進行咨詢和確認,搶先預訂研究生,以免錯失研究生輔導機會。
北京科技大學是一個不錯的學校,深受考研人的追捧,本校每年會有數千名研究生招生的名額,研究生報考錄取比在3:1左右,難度中等,部分熱門的研究生專業研究生報考錄取比會更高一點,請各位準備報考北京科技大學管理科學與工程考研的同學注意: 北京科技大學管理科學與工程研究生錄取分數線(或稱考研分數線)的數據。因為每年都有不少人報考北京科技大學管理科學與工程考研,競爭激烈,所以強烈建議各位準備考北京科技大學管理科學與工程研究生的考研人準備一些基本的歷年考研真題、 研究生學姐學長的筆記、考研經驗等等(考研派有考研經驗頻道,也有考研派微信公眾號、考研派APP等產品平臺,里面有不少研究生會免費解答你的考研問題,助你考研一臂之力),另外考研派也會為大家北京科技大學管理科學與工程考研的參考書目、考研大綱、研究生招生咨詢電話等聯系方式。希望你考取北京科技大學 管理科學與工程專業研究生,考研是個孤獨的事情,需要耐得住寂寞,祝愿各位考研的學生好好復習備考,來年上個985/211,實現自己的名校研究生夢想。
2021北京科技大學管理科學與工程120100考研科目及參考書目
管理科學與工程 [120100] 學術學位
專業信息
- 所屬院校:北京科技大學
- 招生年份:2021年
- 招生類別:全日制研究生
- 所屬學院:經濟管理學院
- 所屬門類代碼、名稱:[12]管理學
- 所屬一級學科代碼、名稱:[01]管理科學與工程
專業招生詳情
| 研究方向: | 01 商務數據分析(全日制) 02 生產運作管理(全日制) 03 信息管理與信息系統全日制) 04 優化與決策理論方法(全日制) 05 智能制造與大數據分析(全日制) 06 物流與供應鏈管理(全日制) |
|
| 招生人數: | 28 | |
| 考試科目: | ①101 思想政治理論 ②201 英語一 ③303 數學三 ④824 管理學與經濟學基礎 復試科目:562 數據庫原理與管理信息(各占50%) |
|
| 備 注: | 本專業不招收同等學力考生 全日制擬招人數:28 推免生擬招人數:20 |
|
北京科技大學東凌經濟管理學院管理科學與工程系介紹
北京科技大學東凌經濟管理學院管理科學與工程系介紹
管理科學與工程系成立于1995年,是由原管理工程教研室的一部分及原系統工程教研室組成。目前擁有專業教師22人,其中教授8人(博導8人),副教授9人,講師5人。此外,教師中1人入選愛思唯爾(Elsevier)2014年中國高被引學者榜單,2人獲評教育部新世紀優秀人才,2人獲評北京市教學名師。本系95%的教師具有博士學位,80%的教師具有海外學習或進修經歷。
本系現設有1個“管理科學與工程”一級學科博士點,2008年獲得北京市重點學科稱號,2009年設立管理科學與工程博士后流動站, 1個“管理科學與工程”碩士專業和1個 “工業工程”工程碩士專業,1個“信息管理與信息系統”本科生專業。目前,學科研究方向主要有生產運營管理、先進制造系統優化與訪真、管理過程優化、復雜工程系統健康管理、企業電子商務與信息戰略等。本專業致力于培養具有扎實的管理科學與工程理論基礎,能夠系統化地運用優化技術和信息技術解決生產企業、金融機構、政府機關中的各種管理問題的專業人才。
本系教師近年來獲得國家自然科學基金項目14項,其中包含重點項目2項。研究成果發表在Production and Operations Management,Decision Support Systems,IEEE Transactions on Industrial Electronics,Transportation on Research Part E-Logistics and Transportation Review,Integrated Computer-Aided Engineering,IEEE Transactions on Cybernetics,Reliability Engineering & System Safety,Computers & industrial engineering,European Journal of Operational Research,International Journal of Production Research,Applied Mathematics and Computation,International Journal of Production Economics,Expert Systems with Applications,以及《管理科學學報》、《系統工程理論與實踐》等國內外頂級期刊,達到一流專業研究水平。
北京科技大學管理科學與工程培養方案
管理科學與工程
管理科學與工程碩士研究生專業適用管理科學與工程學科研究生培養方案,培養方案具體如下:
一、學科簡介
管理科學與工程研究人類管理活動的內在規律,為經濟組織運行達到最佳狀態提供科學的理論、方法和方案,使經濟組織高效率地完成既定目標。本學科以管理科學、經濟學為基礎,與數學、信息科學、工程科學等緊密相關,注重管理科學與工程方法論研究及其在管理活動中應用。
本學科分別于1984年和2000年經國務院學位委員會批準,獲一級學科碩士學位和博士學位授予權,現為北京市重點學科,在生產與運作管理、管理過程優化、智能化商務數據處理和計算機輔助管理等領域在國內具有相當的影響。
本學科不設二級學科。
二、學位類型和培養目標
本學科可授予管理學博士和管理學碩士學位。
本學科博士學位培養學術型人才,碩士學位培養具有較強學術能力的應用型人才。
本學科的博士學位獲得者應在管理科學、經濟學、信息科學及數學等領域掌握堅實寬廣的基礎理論和系統深入的專門知識,全面了解學科理論前沿動向,熟練掌握一門外國語,能夠獨立承擔科學研究工作和相關的教學工作,針對管理實際問題在科學或專門技術方面做出創造性的成果。
本學科碩士學位獲得者應在管理學、經濟學、模型化方法及計算機應用等方面掌握堅實的理論基礎和系統的專門知識,了解學科現狀和發展趨勢,能運用所學理論和方法,針對實際管理問題開展研究工作,獨立承擔本學科領域教學、科研或管理工作。
三、學制、學習年限與學分要求
全日制博士研究生:學制為3年,學習年限一般為3~5年,最低課程學分要求14學分,其中6字頭課程不低于10學分;
碩博連讀研究生:學制為3年,學習年限自碩士入學起一般為5~6年,最低課程學分要求36學分,其中6字頭課程不低于13學分;
學士直攻博研究生:學制5年,學習年限一般為5~6年,最低課程學分要求36學分,其中6字頭課程不低于13學分;
全日制碩士研究生:學制為2年,學習年限一般為2~2.5年,最低課程學分要求26學分,其中6字頭課程不低于3學分。
四、課程設置
五、學術活動
按照《北京科技大學研究生培養方案總則》的有關規定執行(必修1學分)。
六、科學研究及學位論文工作
執行《北京科技大學研究生培養方案總則》和《北京科技大學博士學位申請和授予辦法》與《北京科技大學碩士學位論文答辯和申請辦法》中的有關規定。
一、學科簡介
管理科學與工程研究人類管理活動的內在規律,為經濟組織運行達到最佳狀態提供科學的理論、方法和方案,使經濟組織高效率地完成既定目標。本學科以管理科學、經濟學為基礎,與數學、信息科學、工程科學等緊密相關,注重管理科學與工程方法論研究及其在管理活動中應用。
本學科分別于1984年和2000年經國務院學位委員會批準,獲一級學科碩士學位和博士學位授予權,現為北京市重點學科,在生產與運作管理、管理過程優化、智能化商務數據處理和計算機輔助管理等領域在國內具有相當的影響。
本學科不設二級學科。
二、學位類型和培養目標
本學科可授予管理學博士和管理學碩士學位。
本學科博士學位培養學術型人才,碩士學位培養具有較強學術能力的應用型人才。
本學科的博士學位獲得者應在管理科學、經濟學、信息科學及數學等領域掌握堅實寬廣的基礎理論和系統深入的專門知識,全面了解學科理論前沿動向,熟練掌握一門外國語,能夠獨立承擔科學研究工作和相關的教學工作,針對管理實際問題在科學或專門技術方面做出創造性的成果。
本學科碩士學位獲得者應在管理學、經濟學、模型化方法及計算機應用等方面掌握堅實的理論基礎和系統的專門知識,了解學科現狀和發展趨勢,能運用所學理論和方法,針對實際管理問題開展研究工作,獨立承擔本學科領域教學、科研或管理工作。
三、學制、學習年限與學分要求
全日制博士研究生:學制為3年,學習年限一般為3~5年,最低課程學分要求14學分,其中6字頭課程不低于10學分;
碩博連讀研究生:學制為3年,學習年限自碩士入學起一般為5~6年,最低課程學分要求36學分,其中6字頭課程不低于13學分;
學士直攻博研究生:學制5年,學習年限一般為5~6年,最低課程學分要求36學分,其中6字頭課程不低于13學分;
全日制碩士研究生:學制為2年,學習年限一般為2~2.5年,最低課程學分要求26學分,其中6字頭課程不低于3學分。
四、課程設置
| 類別 | 課程編號 | 課程名稱 | 學時 | 學分 | 開課學期 | 備注 |
|
公共 必修課 |
5080001 | 中國特色社會主義理論與實踐研究 | 32 | 2 | 1 | 碩士生必修 |
| 5090010 | 碩士生公共外語 | 64 | 3 | 1 | ||
| 6080001 | 中國馬克思主義與當代 | 32 | 2 | 1 | 博士生必修 | |
|
公共 選修課 |
5800002 | 自然辯證法概論 | 16 | 1 | 2 | 碩士生必選1門 |
| 5800003 | 馬克思主義與社會科學方法論 | 16 | 1 | 2 | ||
| 524000X | 計算機類選修課 | 32 | 2 | 2 | 選修 | |
| 509002X | 應用外語選修課 | 32 | 2 | 2 | ||
| 521000X | 數學類選修課I | 32~48 | 2~3 | 1~2 | ||
| 621000X | 數學類選修課II | 32 | 2 | 1~2 | ||
| 6080002 | 馬克思主義經典著作選讀 | 16 | 1 | 1 | ||
| 6090001 | 英文科技文獻閱讀與論文寫作 | 32 | 2 | 1 | ||
|
學科 基礎課 |
5070101 | 管理科學研究方法與論文寫作 | 16 | 1 | 2 | 碩士生必修 |
| 5070141 | 管理系統建模與優化 | 48 | 3 | 1 | ||
| 5070631 | 中級經濟學 | 48 | 3 | 1 | ||
| 6070131 | 管理科學研究方法論 | 32 | 2 | 1 | 選修 | |
| 6070132 | 優化理論與決策分析方法 | 32 | 2 | 1 | ||
|
學科 專業課 |
5071111 | 生產與運營管理 | 32 | 2 | 1 | 碩士生必選8學分 |
| 5071121 | 電子商務技術 | 32 | 2 | 1 | ||
| 5071133 | 工作流技術 | 32 | 2 | 2 | ||
| 5071134 | 決策分析技術與方法 | 32 | 2 | 1 | ||
| 5071151 | 供應鏈管理 | 32 | 2 | 1 | ||
| 6070102 | 管理科學與工程學科前沿 | 16 | 1 | 2 | 選修 | |
| 6071122 | 先進制造管理 | 32 | 2 | 1 | ||
| 6071123 | 智能算法在管理科學中的應用 | 32 | 2 | 2 | ||
| 6071152 | 數據組織與分析技術 | 32 | 2 | 1 | ||
| 補修課 | B070108 | 管理學原理 | 48 | 1 | -- | 非本一級學科本科學位碩士生和同等學力考生補修 |
| B070309 | 應用經濟統計學 | 48 | 1 | -- | ||
| 5070141 | 管理系統建模與優化 | 48 | 1 | 1 | 非本一級學科碩士學位博士生和同等學力考生補修 | |
| 5070631 | 中級經濟學 | 48 | 1 | 1 |
五、學術活動
按照《北京科技大學研究生培養方案總則》的有關規定執行(必修1學分)。
六、科學研究及學位論文工作
執行《北京科技大學研究生培養方案總則》和《北京科技大學博士學位申請和授予辦法》與《北京科技大學碩士學位論文答辯和申請辦法》中的有關規定。
2021北京科技大學管理科學與工程120100考研科目及參考書目
管理科學與工程 [120100] 學術學位
專業信息
- 所屬院校:北京科技大學
- 招生年份:2021年
- 招生類別:全日制研究生
- 所屬學院:經濟管理學院
- 所屬門類代碼、名稱:[12]管理學
- 所屬一級學科代碼、名稱:[01]管理科學與工程
專業招生詳情
| 研究方向: | 01 商務數據分析(全日制) 02 生產運作管理(全日制) 03 信息管理與信息系統全日制) 04 優化與決策理論方法(全日制) 05 智能制造與大數據分析(全日制) 06 物流與供應鏈管理(全日制) |
|
| 招生人數: | 28 | |
| 考試科目: | ①101 思想政治理論 ②201 英語一 ③303 數學三 ④824 管理學與經濟學基礎 復試科目:562 數據庫原理與管理信息(各占50%) |
|
| 備 注: | 本專業不招收同等學力考生 全日制擬招人數:28 推免生擬招人數:20 |
|
北京科技大學管理科學與工程120100考研科目及參考書目
管理科學與工程 [120100] 學術學位
專業信息
- 所屬院校:北京科技大學
- 招生年份:2020年
- 招生類別:全日制研究生
- 所屬學院:東凌經濟管理學院
- 所屬門類代碼、名稱:[12]管理學
- 所屬一級學科代碼、名稱:[01]管理科學與工程
專業招生詳情
| 研究方向: | 01 數據科學與商務分析(全日制) 02 現代生產與運作管理(全日制) 03 系統設計與開發技術(全日制) 04 決策理論與優化方法(全日制) 05 電子商務與智慧供應鏈(全日制) |
|
| 招生人數: | 28 | |
| 考試科目: | ①101 思想政治理論 ②201 英語一 ③303 數學三 ④824 管理學與經濟學基礎 |
|
| 備 注: | 復試科目:562 數據庫原理與管理信息(各占50%) | |
北京科技大學管理科學與工程2020年研究生錄取分數線
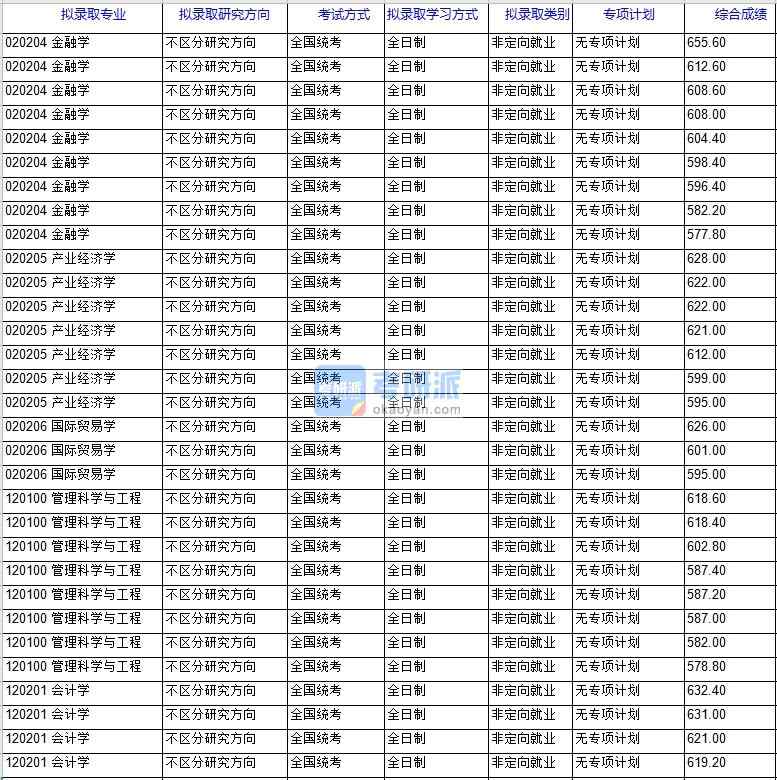
北京科技大學管理科學與工程考研的各位同學,2020年北京科技大學管理科學與工程研究生錄取名單終于公布了,北京科技大學管理科學與工程是一個不錯的專業,希望各位今年的考研分數線能過北京科技大學管理科學與工程2020年的錄取分數線,下面是2020年北京科技大學研究生院公布的北京科技大學管理科學與工程2020年研究生錄取分數線和北京科技大學管理科學與工程研究生擬錄取名單。
北京科技大學管理科學與工程2020年研究生復試分數線(或稱考研分數線)和北京科技大學管理科學與工程的研究生錄取分數線是兩個不同的概念,前者是進入北京科技大學管理科學與工程研究生復試的基本要求線,后者是北京科技大學管理科學與工程研究生的錄取分數線,包含了初試復試的綜合成績。本文是北京科技大學管理科學與工程2020年研究生錄取分數線,內容來自北京科技大學研究生院相關網站,如有出入請以北京科技大學官方網站公布的北京科技大學管理科學與工程2020年研究生錄取分數線為準。
以下是2020年北京科技大學的研究生錄取名單,成績從高到底,供準備報考該專業研究生的同學參考:

管理科學與工程考研院校
基本信息
專業名稱:管理科學與工程 專業代碼:120100 門類/類別:管理學 學科/類別:管理科學與工程
專業介紹
陸軍裝甲兵學院為例:一、培養目標
培養掌握管理科學與工程專業深厚的基礎理論和系統的專門知識,具有從事科學研究和解決本專業領域技術難題的能力,能夠適應軍隊現代化建設和信息化條件下聯合作戰需要、滿足基層部隊任職崗位需求的高層次應用型人才。
二、專業簡介
我院于1996年獲得“管理科學與工程”學科碩士學位授予權,于2010年獲得“管理科學與工程”學科博士學位授予權,作為學院重點發展學科,主要是結合軍隊新時期建設戰略方針,應用現代管理理論和方法,進行裝備管理理論、裝備管理體系研究,包括裝備使用、維修、器材供應、訓練及戰備管理體系研究;各種條例、法規以及平時、戰時裝備保障理論與技術方法的研究;新裝備的戰術、技術性能論證和綜合保障理論的研究;部隊管理信息化和裝備保障信息化技術和實現方法的研究等。已為部隊培養出200多名高質量的碩士研究生。
三、研究方向簡介
1.復雜管理系統建模與仿真
運用復雜系統理論和現代建模技術,針對裝備管理系統的結構、運行和優化等問題,建立相關模型;從裝備管理系統內部結構入手,進行管理行為影響因素及其靈敏度分析,進行系統優化;運用系統仿真技術,對裝備管理系統運行效能進行仿真,為評價裝備管理系統效能或裝備管理系統結構優化提供決策依據。
2.裝備全壽命管理理論與應用
研究裝備論證、工程研制、生產與部署、使用與保障、退役與報廢等各階段管理的理論和方法,解決各階段有機統籌管理問題;研究裝備綜合保障理論體系、裝備保障資源的優化配置等問題;研究裝備及其保障系統的關系,建立管理優化模型,解決信息化條件下裝備動用策略和裝備保障模式改革等問題;研究裝備壽命周期費用分析方法、建模與綜合評價及其管理的綜合控制方法,解決裝備費用效益問題。
3.裝備信息管理與決策
研究裝備管理信息資源構成、數據結構規劃、綜合數據庫規劃、系統平臺規劃,解決裝備管理信息系統集成架構與技術體系等關鍵問題;研究數據采集、數據傳輸、數據存儲等技術在裝備管理中的應用,解決裝備管理信息自動采集與處理的問題;研究裝備管理信息數據融合、數據挖掘、IETM、決策分析等技術在裝備管理輔助決策中的應用,解決裝備管理決策智能化和科學化問題。
4.裝備物流與供應鏈管理
裝備物流管理和技術體系、網絡體系、預置儲備體系、配送體系規劃、應急體系、平戰轉化機制及戰時動員體系規劃;裝備物流過程建模與仿真、資源優化配置、業務流程重組、戰略投送能力建設、基地規劃論證與建設、可視化技術應用與信息系統開發;裝備供應鏈體系規劃、采購管理、軍民一體化與供應商關系管理。
四、導師隊伍
技術保障工程系于1999年成立,是全軍首個專門從事裝備保障教學與研究的專業系,相繼成立了“全軍通用裝備保障研究訓練中心”、“全國物流師資格認證軍隊培訓中心”,是“全軍裝備科學管理專家組”辦公室的掛靠單位。目前該學科共有教授7人,副教授9人,其中博士生導師5人、碩士生導師16人,高職教員比例超過40%,形成了以教授學科帶頭人為核心的年齡結構、學歷結構、專業結構較為合理的人才隊伍。
五、教學科研條件
我系于2004年建成了8300平方米的全軍通用裝備保障研究訓練中心暨系教學科研辦公樓,擁有1個實裝車間、2個模擬駕駛教室、3個實驗室、4個專業教室和1個學術報告多功能廳,實現了教學、實驗、推演、研究、展示、交流、辦公等功能一體化。
六、教學科研學術成果
圍繞人才培養和理論技術創新,積極開展本學科專業領域教學改革和科學研究,“十一五”期間,建設主干課程6門,編寫教材7部,獲教學成果獎5項,其中軍隊級教學成果二等獎1項、三等獎1項、總裝備部教學成果獎3項,獲總裝備部院校優質課1門;共完成本領域科研項目130余項,累計科研經費4000余萬元,獲軍隊科技進步獎41項,其中一等獎3項、二等獎9項。
專業點分布
航天工程大學 陸軍裝甲兵學院 北京師范大學 北京物資學院 中國傳媒大學 北京大學 中國人民大學 清華大學 北京工業大學 北京航空航天大學 北京理工大學 北京工商大學 北京建筑大學 中國農業大學 北京林業大學 北京科技大學 中國農業科學院 中國石油大學(北京) 北京信息科技大學 中國礦業大學(北京) 中國地質大學(北京) 中國科學院大學 天津城建大學 陸軍軍事交通學院 天津理工大學 天津工業大學 南開大學 天津師范大學 天津科技大學 天津職業技術師范大學 天津財經大學 天津大學 河北工業大學 華北電力大學(保定) 河北大學 河北科技大學 石家莊鐵道大學 燕山大學 中央司法警官學院 山西財經大學 太原理工大學 太原科技大學 山西大學 山西師范大學 內蒙古農業大學 內蒙古工業大學 大連大學 東北財經大學 沈陽師范大學 沈陽工業大學 東北大學 遼寧工程技術大學 大連交通大學 遼寧師范大學 沈陽化工大學 遼寧工業大學 沈陽建筑大學 吉林建筑大學 長春工業大學 吉林大學 哈爾濱商業大學 哈爾濱理工大學 哈爾濱工業大學 哈爾濱工程大學 黑龍江科技大學 東北林業大學 東北農業大學 上海海事大學 同濟大學 上海交通大學 上海理工大學 東華大學 華東理工大學 上海財經大學 蘇州科技大學 河海大學 蘇州大學 東南大學 南京航空航天大學 南京理工大學 江蘇科技大學 中國礦業大學 南京工業大學 南京郵電大學 江南大學 南京大學 南京信息工程大學 江蘇大學 南京林業大學 南京師范大學 中國計量大學 浙江大學 浙江理工大學 浙江工業大學 杭州電子科技大學 安徽財經大學 淮北師范大學 中國科學技術大學 合肥工業大學 安徽理工大學 安徽工程大學 廈門理工學院 福州大學 廈門大學 景德鎮陶瓷大學 江西財經大學 江西師范大學 江西理工大學 南昌航空大學 華東交通大學 江西科技師范大學 海軍航空大學 山東財經大學 濟南大學 山東理工大學 曲阜師范大學 青島理工大學 山東大學 中國海洋大學 山東科技大學 山東建筑大學 中國石油大學(華東) 山東工商學院 河南財經政法大學 中國空空導彈研究院 華北水利水電大學 鄭州大學 河南理工大學 鄭州輕工業學院 河南工業大學 河南農業大學 河南大學 河南科技大學 鄭州航空工業管理學院 海軍工程大學 武漢輕工大學 武漢大學 華中科技大學 武漢工程大學 武漢理工大學 三峽大學 中國地質大學(武漢) 湖北中醫藥大學 中南財經政法大學 湖南大學 湖南工業大學 中南林業科技大學 中南大學 湘潭大學 長沙理工大學 湖南商學院 廣東工業大學 五邑大學 中山大學 華南農業大學 暨南大學 深圳大學 廣州醫科大學 桂林電子科技大學 廣西大學 重慶理工大學 重慶工商大學 陸軍勤務學院 重慶師范大學 重慶交通大學 重慶郵電大學 重慶大學 西南石油大學 西南民族大學 四川大學 電子科技大學 成都理工大學 成都信息工程大學 四川理工學院 西南財經大學 西南交通大學 貴州師范大學 貴州大學 云南財經大學 昆明理工大學 云南大學 空軍工程大學 火箭軍工程大學 西北大學 西安交通大學 西北工業大學 西安理工大學 西安電子科技大學 西安工業大學 西安科技大學 西安石油大學 西北農林科技大學 西安郵電大學 蘭州理工大學 蘭州交通大學 蘭州財經大學
專業大學排名
1201 管理科學與工程
本一級學科中,全國具有“博士授權”的高校共 90 所,本次參評85 所;部分具有“碩士授權”的高校 也參加了評估;參評高校共計 187 所(注:評估結果相同的高校排序不分先后,按學校代碼排列)。
| 序號 | 學校代碼 | 學校名稱 | 評選結果 |
| 1 | 10003 | 清華大學 | A+ |
| 2 | 10247 | 同濟大學 | A+ |
| 3 | 90002 | 國防科技大學 | A+ |
| 4 | 10006 | 北京航空航天大學 | A |
| 5 | 10056 | 天津大學 | A |
| 6 | 10213 | 哈爾濱工業大學 | A |
| 7 | 10248 | 上海交通大學 | A |
| 8 | 10335 | 浙江大學 | A |
| 9 | 10359 | 合肥工業大學 | A |
| 10 | 10007 | 北京理工大學 | A- |
| 11 | 10141 | 大連理工大學 | A- |
| 12 | 10286 | 東南大學 | A- |
| 13 | 10287 | 南京航空航天大學 | A- |
| 14 | 10358 | 中國科學技術大學 | A- |
| 15 | 10533 | 中南大學 | A- |
| 16 | 10561 | 華南理工大學 | A- |
| 17 | 10610 | 四川大學 | A- |
| 18 | 10698 | 西安交通大學 | A- |
| 19 | 10004 | 北京交通大學 | B+ |
| 20 | 10079 | 華北電力大學 | B+ |
| 21 | 10145 | 東北大學 | B+ |
| 22 | 10173 | 東北財經大學 | B+ |
| 23 | 10217 | 哈爾濱工程大學 | B+ |
| 24 | 10246 | 復旦大學 | B+ |
| 25 | 10251 | 華東理工大學 | B+ |
| 26 | 10252 | 上海理工大學 | B+ |
| 27 | 10284 | 南京大學 | B+ |
| 28 | 10290 | 中國礦業大學 | B+ |
| 29 | 10294 | 河海大學 | B+ |
| 30 | 10386 | 福州大學 | B+ |
| 31 | 10486 | 武漢大學 | B+ |
| 32 | 10487 | 華中科技大學 | B+ |
| 33 | 10611 | 重慶大學 | B+ |
| 34 | 10613 | 西南交通大學 | B+ |
| 35 | 10614 | 電子科技大學 | B+ |
| 36 | 10699 | 西北工業大學 | B+ |
| 37 | 10700 | 西安理工大學 | B+ |
| 38 | 10008 | 北京科技大學 | B |
| 39 | 10013 | 北京郵電大學 | B |
| 40 | 10038 | 首都經濟貿易大學 | B |
| 41 | 10055 | 南開大學 | B |
| 42 | 10060 | 天津理工大學 | B |
| 43 | 10214 | 哈爾濱理工大學 | B |
| 44 | 10254 | 上海海事大學 | B |
| 45 | 10255 | 東華大學 | B |
| 46 | 10272 | 上海財經大學 | B |
| 47 | 10280 | 上海大學 | B |
| 48 | 10288 | 南京理工大學 | B |
| 49 | 10299 | 江蘇大學 | B |
| 50 | 10384 | 廈門大學 | B |
| 51 | 10421 | 江西財經大學 | B |
| 52 | 10422 | 山東大學 | B |
| 53 | 10497 | 武漢理工大學 | B |
| 54 | 10532 | 湖南大學 | B |
| 55 | 10558 | 中山大學 | B |
| 56 | 11414 | 中國石油大學 | B |
| 57 | 90045 | 空軍工程大學 | B |
| 58 | 10001 | 北京大學 | B- |
| 59 | 10070 | 天津財經大學 | B- |
| 60 | 10078 | 華北水利水電大學 | B- |
| 61 | 10080 | 河北工業大學 | B- |
| 62 | 10151 | 大連海事大學 | B- |
| 63 | 10183 | 吉林大學 | B- |
| 64 | 10216 | 燕山大學 | B- |
| 65 | 10289 | 江蘇科技大學 | B- |
| 66 | 10403 | 南昌大學 | B- |
| 67 | 10424 | 山東科技大學 | B- |
| 68 | 10456 | 山東財經大學 | B- |
| 69 | 10491 | 中國地質大學 | B- |
| 70 | 10559 | 暨南大學 | B- |
| 71 | 10618 | 重慶交通大學 | B- |
| 72 | 10701 | 西安電子科技大學 | B- |
| 73 | 10703 | 西安建筑科技大學 | B- |
| 74 | 11845 | 廣東工業大學 | B- |
| 75 | 10002 | 中國人民大學 | C+ |
| 76 | 10010 | 北京化工大學 | C+ |
| 77 | 10030 | 北京外國語大學 | C+ |
| 78 | 10034 | 中央財經大學 | C+ |
| 79 | 10037 | 北京物資學院 | C+ |
| 80 | 10075 | 河北大學 | C+ |
| 81 | 10142 | 沈陽工業大學 | C+ |
| 82 | 10147 | 遼寧工程技術大學 | C+ |
| 83 | 10300 | 南京信息工程大學 | C+ |
| 84 | 10336 | 杭州電子科技大學 | C+ |
| 85 | 10356 | 中國計量大學 | C+ |
| 86 | 10414 | 江西師范大學 | C+ |
| 87 | 10445 | 山東師范大學 | C+ |
| 88 | 10511 | 華中師范大學 | C+ |
| 89 | 10590 | 深圳大學 | C+ |
| 90 | 10616 | 成都理工大學 | C+ |
| 91 | 10651 | 西南財經大學 | C+ |
| 92 | 10674 | 昆明理工大學 | C+ |
| 93 | 11065 | 青島大學 | C+ |
| 94 | 10057 | 天津科技大學 | C |
| 95 | 10058 | 天津工業大學 | C |
| 96 | 10108 | 山西大學 | C |
| 97 | 10291 | 南京工業大學 | C |
| 98 | 10293 | 南京郵電大學 | C |
| 99 | 10337 | 浙江工業大學 | C |
| 100 | 10338 | 浙江理工大學 | C |
| 101 | 10353 | 浙江工商大學 | C |
| 102 | 10360 | 安徽工業大學 | C |
| 103 | 10459 | 鄭州大學 | C |
| 104 | 10488 | 武漢科技大學 | C |
| 105 | 10495 | 武漢紡織大學 | C |
| 106 | 10520 | 中南財經政法大學 | C |
| 107 | 10615 | 西南石油大學 | C |
| 108 | 10617 | 重慶郵電大學 | C |
| 109 | 10621 | 成都信息工程大學 | C |
| 110 | 10689 | 云南財經大學 | C |
| 111 | 11075 | 三峽大學 | C |
| 112 | 11232 | 北京信息科技大學 | C |
| 113 | 10011 | 北京工商大學 | C- |
| 114 | 10022 | 北京林業大學 | C- |
| 115 | 10107 | 石家莊鐵道大學 | C- |
| 116 | 10125 | 山西財經大學 | C- |
| 117 | 10154 | 遼寧工業大學 | C- |
| 118 | 10191 | 吉林建筑大學 | C- |
| 119 | 10225 | 東北林業大學 | C- |
| 120 | 10240 | 哈爾濱商業大學 | C- |
| 121 | 10327 | 南京財經大學 | C- |
| 122 | 10378 | 安徽財經大學 | C- |
| 123 | 10385 | 華僑大學 | C- |
| 124 | 10427 | 濟南大學 | C- |
| 125 | 10430 | 山東建筑大學 | C- |
| 126 | 10466 | 河南農業大學 | C- |
| 127 | 10536 | 長沙理工大學 | C- |
| 128 | 10592 | 廣東財經大學 | C- |
| 129 | 10622 | 四川理工學院 | C- |
| 130 | 10704 | 西安科技大學 | C- |
| 131 | 10792 | 天津城建大學 | C- |
| 132 | 11799 | 重慶工商大學 | C- |
| 133 | 11846 | 廣東外語外貿大學 | C- |
管理科學與工程考研院校
基本信息
專業名稱:管理科學與工程 專業代碼:087100 門類/類別:工學 學科/類別:管理科學與工程
專業介紹
北京化工大學為例
管理科學與工程一級學科于1993年獲得碩士學位授予權,現有“一級學科博士點”。本學科的研究方向主要包括能源經濟預測、大數據挖掘與知識管理、化工物流與供應鏈管理、化工安全與應急管理,管理科學、資源與環境管理、管理信息系統、科技評價等。本學科是強調管理理論與管理實踐緊密結合的學科,以管理科學、經濟學為基礎,與數學、信息科學、工程科學等緊密相關,突出學科交叉與創新,注重管理科學與工程方法論研究及其在管理活動中的應用。
專業點分布
北京物資學院 北京化工大學 中國人民大學 清華大學 北京工商大學 北京郵電大學 北京林業大學 河北工程大學 太原理工大學 太原科技大學 內蒙古工業大學 大連大學 大連海事大學 沈陽師范大學 大連理工大學 東北林業大學 揚州大學 中國礦業大學 江蘇師范大學 浙江工商大學 安徽工業大學 江西理工大學 華東交通大學 江西科技師范大學 山東理工大學 中國海洋大學 山東師范大學 華北水利水電大學 河南科技大學 鄭州航空工業管理學院 武漢輕工大學 華中科技大學 武漢科技大學 武漢紡織大學 三峽大學 湖北中醫藥大學 華中師范大學 國防科技大學 長沙理工大學 廣東財經大學 深圳大學 重慶交通大學 重慶大學 成都信息工程大學 貴州大學 西安建筑科技大學 西安郵電大學
專業院校排名
本一級學科中,全國具有“博士授權”的高校共 90 所,本次參評85 所;部分具有“碩士授權”的高校 也參加了評估;參評高校共計 187 所(注:評估結果相同的高校排序不分先后,按學校代碼排列)。
| 序號 | 學校代碼 | 學校名稱 | 評選結果 |
| 1 | 10003 | 清華大學 | A+ |
| 2 | 10247 | 同濟大學 | A+ |
| 3 | 90002 | 國防科技大學 | A+ |
| 4 | 10006 | 北京航空航天大學 | A |
| 5 | 10056 | 天津大學 | A |
| 6 | 10213 | 哈爾濱工業大學 | A |
| 7 | 10248 | 上海交通大學 | A |
| 8 | 10335 | 浙江大學 | A |
| 9 | 10359 | 合肥工業大學 | A |
| 10 | 10007 | 北京理工大學 | A- |
| 11 | 10141 | 大連理工大學 | A- |
| 12 | 10286 | 東南大學 | A- |
| 13 | 10287 | 南京航空航天大學 | A- |
| 14 | 10358 | 中國科學技術大學 | A- |
| 15 | 10533 | 中南大學 | A- |
| 16 | 10561 | 華南理工大學 | A- |
| 17 | 10610 | 四川大學 | A- |
| 18 | 10698 | 西安交通大學 | A- |
| 19 | 10004 | 北京交通大學 | B+ |
| 20 | 10079 | 華北電力大學 | B+ |
| 21 | 10145 | 東北大學 | B+ |
| 22 | 10173 | 東北財經大學 | B+ |
| 23 | 10217 | 哈爾濱工程大學 | B+ |
| 24 | 10246 | 復旦大學 | B+ |
| 25 | 10251 | 華東理工大學 | B+ |
| 26 | 10252 | 上海理工大學 | B+ |
| 27 | 10284 | 南京大學 | B+ |
| 28 | 10290 | 中國礦業大學 | B+ |
| 29 | 10294 | 河海大學 | B+ |
| 30 | 10386 | 福州大學 | B+ |
| 31 | 10486 | 武漢大學 | B+ |
| 32 | 10487 | 華中科技大學 | B+ |
| 33 | 10611 | 重慶大學 | B+ |
| 34 | 10613 | 西南交通大學 | B+ |
| 35 | 10614 | 電子科技大學 | B+ |
| 36 | 10699 | 西北工業大學 | B+ |
| 37 | 10700 | 西安理工大學 | B+ |
| 38 | 10008 | 北京科技大學 | B |
| 39 | 10013 | 北京郵電大學 | B |
| 40 | 10038 | 首都經濟貿易大學 | B |
| 41 | 10055 | 南開大學 | B |
| 42 | 10060 | 天津理工大學 | B |
| 43 | 10214 | 哈爾濱理工大學 | B |
| 44 | 10254 | 上海海事大學 | B |
| 45 | 10255 | 東華大學 | B |
| 46 | 10272 | 上海財經大學 | B |
| 47 | 10280 | 上海大學 | B |
| 48 | 10288 | 南京理工大學 | B |
| 49 | 10299 | 江蘇大學 | B |
| 50 | 10384 | 廈門大學 | B |
| 51 | 10421 | 江西財經大學 | B |
| 52 | 10422 | 山東大學 | B |
| 53 | 10497 | 武漢理工大學 | B |
| 54 | 10532 | 湖南大學 | B |
| 55 | 10558 | 中山大學 | B |
| 56 | 11414 | 中國石油大學 | B |
| 57 | 90045 | 空軍工程大學 | B |
| 58 | 10001 | 北京大學 | B- |
| 59 | 10070 | 天津財經大學 | B- |
| 60 | 10078 | 華北水利水電大學 | B- |
| 61 | 10080 | 河北工業大學 | B- |
| 62 | 10151 | 大連海事大學 | B- |
| 63 | 10183 | 吉林大學 | B- |
| 64 | 10216 | 燕山大學 | B- |
| 65 | 10289 | 江蘇科技大學 | B- |
| 66 | 10403 | 南昌大學 | B- |
| 67 | 10424 | 山東科技大學 | B- |
| 68 | 10456 | 山東財經大學 | B- |
| 69 | 10491 | 中國地質大學 | B- |
| 70 | 10559 | 暨南大學 | B- |
| 71 | 10618 | 重慶交通大學 | B- |
| 72 | 10701 | 西安電子科技大學 | B- |
| 73 | 10703 | 西安建筑科技大學 | B- |
| 74 | 11845 | 廣東工業大學 | B- |
| 75 | 10002 | 中國人民大學 | C+ |
| 76 | 10010 | 北京化工大學 | C+ |
| 77 | 10030 | 北京外國語大學 | C+ |
| 78 | 10034 | 中央財經大學 | C+ |
| 79 | 10037 | 北京物資學院 | C+ |
| 80 | 10075 | 河北大學 | C+ |
| 81 | 10142 | 沈陽工業大學 | C+ |
| 82 | 10147 | 遼寧工程技術大學 | C+ |
| 83 | 10300 | 南京信息工程大學 | C+ |
| 84 | 10336 | 杭州電子科技大學 | C+ |
| 85 | 10356 | 中國計量大學 | C+ |
| 86 | 10414 | 江西師范大學 | C+ |
| 87 | 10445 | 山東師范大學 | C+ |
| 88 | 10511 | 華中師范大學 | C+ |
| 89 | 10590 | 深圳大學 | C+ |
| 90 | 10616 | 成都理工大學 | C+ |
| 91 | 10651 | 西南財經大學 | C+ |
| 92 | 10674 | 昆明理工大學 | C+ |
| 93 | 11065 | 青島大學 | C+ |
| 94 | 10057 | 天津科技大學 | C |
| 95 | 10058 | 天津工業大學 | C |
| 96 | 10108 | 山西大學 | C |
| 97 | 10291 | 南京工業大學 | C |
| 98 | 10293 | 南京郵電大學 | C |
| 99 | 10337 | 浙江工業大學 | C |
| 100 | 10338 | 浙江理工大學 | C |
| 101 | 10353 | 浙江工商大學 | C |
| 102 | 10360 | 安徽工業大學 | C |
| 103 | 10459 | 鄭州大學 | C |
| 104 | 10488 | 武漢科技大學 | C |
| 105 | 10495 | 武漢紡織大學 | C |
| 106 | 10520 | 中南財經政法大學 | C |
| 107 | 10615 | 西南石油大學 | C |
| 108 | 10617 | 重慶郵電大學 | C |
| 109 | 10621 | 成都信息工程大學 | C |
| 110 | 10689 | 云南財經大學 | C |
| 111 | 11075 | 三峽大學 | C |
| 112 | 11232 | 北京信息科技大學 | C |
| 113 | 10011 | 北京工商大學 | C- |
| 114 | 10022 | 北京林業大學 | C- |
| 115 | 10107 | 石家莊鐵道大學 | C- |
| 116 | 10125 | 山西財經大學 | C- |
| 117 | 10154 | 遼寧工業大學 | C- |
| 118 | 10191 | 吉林建筑大學 | C- |
| 119 | 10225 | 東北林業大學 | C- |
| 120 | 10240 | 哈爾濱商業大學 | C- |
| 121 | 10327 | 南京財經大學 | C- |
| 122 | 10378 | 安徽財經大學 | C- |
| 123 | 10385 | 華僑大學 | C- |
| 124 | 10427 | 濟南大學 | C- |
| 125 | 10430 | 山東建筑大學 | C- |
| 126 | 10466 | 河南農業大學 | C- |
| 127 | 10536 | 長沙理工大學 | C- |
| 128 | 10592 | 廣東財經大學 | C- |
| 129 | 10622 | 四川理工學院 | C- |
| 130 | 10704 | 西安科技大學 | C- |
| 131 | 10792 | 天津城建大學 | C- |
| 132 | 11799 | 重慶工商大學 | C- |
| 133 | 11846 | 廣東外語外貿大學 | C- |
管理科學與工程研究生院校排名
全國第四輪學科評估結果(2017年)1201 管理科學與工程排名:
本一級學科中,全國具有“博士授權”的高校共 90 所,本次參評85 所;部分具有“碩士授權”的高校 也參加了評估;參評高校共計 187 所(注:評估結果相同的高校排序不分先后,按學校代碼排列)。
| 序號 | 學校代碼 | 學校名稱 | 評選結果 |
| 1 | 10003 | 清華大學 | A+ |
| 2 | 10247 | 同濟大學 | A+ |
| 3 | 90002 | 國防科技大學 | A+ |
| 4 | 10006 | 北京航空航天大學 | A |
| 5 | 10056 | 天津大學 | A |
| 6 | 10213 | 哈爾濱工業大學 | A |
| 7 | 10248 | 上海交通大學 | A |
| 8 | 10335 | 浙江大學 | A |
| 9 | 10359 | 合肥工業大學 | A |
| 10 | 10007 | 北京理工大學 | A- |
| 11 | 10141 | 大連理工大學 | A- |
| 12 | 10286 | 東南大學 | A- |
| 13 | 10287 | 南京航空航天大學 | A- |
| 14 | 10358 | 中國科學技術大學 | A- |
| 15 | 10533 | 中南大學 | A- |
| 16 | 10561 | 華南理工大學 | A- |
| 17 | 10610 | 四川大學 | A- |
| 18 | 10698 | 西安交通大學 | A- |
| 19 | 10004 | 北京交通大學 | B+ |
| 20 | 10079 | 華北電力大學 | B+ |
| 21 | 10145 | 東北大學 | B+ |
| 22 | 10173 | 東北財經大學 | B+ |
| 23 | 10217 | 哈爾濱工程大學 | B+ |
| 24 | 10246 | 復旦大學 | B+ |
| 25 | 10251 | 華東理工大學 | B+ |
| 26 | 10252 | 上海理工大學 | B+ |
| 27 | 10284 | 南京大學 | B+ |
| 28 | 10290 | 中國礦業大學 | B+ |
| 29 | 10294 | 河海大學 | B+ |
| 30 | 10386 | 福州大學 | B+ |
| 31 | 10486 | 武漢大學 | B+ |
| 32 | 10487 | 華中科技大學 | B+ |
| 33 | 10611 | 重慶大學 | B+ |
| 34 | 10613 | 西南交通大學 | B+ |
| 35 | 10614 | 電子科技大學 | B+ |
| 36 | 10699 | 西北工業大學 | B+ |
| 37 | 10700 | 西安理工大學 | B+ |
| 38 | 10008 | 北京科技大學 | B |
| 39 | 10013 | 北京郵電大學 | B |
| 40 | 10038 | 首都經濟貿易大學 | B |
| 41 | 10055 | 南開大學 | B |
| 42 | 10060 | 天津理工大學 | B |
| 43 | 10214 | 哈爾濱理工大學 | B |
| 44 | 10254 | 上海海事大學 | B |
| 45 | 10255 | 東華大學 | B |
| 46 | 10272 | 上海財經大學 | B |
| 47 | 10280 | 上海大學 | B |
| 48 | 10288 | 南京理工大學 | B |
| 49 | 10299 | 江蘇大學 | B |
| 50 | 10384 | 廈門大學 | B |
| 51 | 10421 | 江西財經大學 | B |
| 52 | 10422 | 山東大學 | B |
| 53 | 10497 | 武漢理工大學 | B |
| 54 | 10532 | 湖南大學 | B |
| 55 | 10558 | 中山大學 | B |
| 56 | 11414 | 中國石油大學 | B |
| 57 | 90045 | 空軍工程大學 | B |
| 58 | 10001 | 北京大學 | B- |
| 59 | 10070 | 天津財經大學 | B- |
| 60 | 10078 | 華北水利水電大學 | B- |
| 61 | 10080 | 河北工業大學 | B- |
| 62 | 10151 | 大連海事大學 | B- |
| 63 | 10183 | 吉林大學 | B- |
| 64 | 10216 | 燕山大學 | B- |
| 65 | 10289 | 江蘇科技大學 | B- |
| 66 | 10403 | 南昌大學 | B- |
| 67 | 10424 | 山東科技大學 | B- |
| 68 | 10456 | 山東財經大學 | B- |
| 69 | 10491 | 中國地質大學 | B- |
| 70 | 10559 | 暨南大學 | B- |
| 71 | 10618 | 重慶交通大學 | B- |
| 72 | 10701 | 西安電子科技大學 | B- |
| 73 | 10703 | 西安建筑科技大學 | B- |
| 74 | 11845 | 廣東工業大學 | B- |
| 75 | 10002 | 中國人民大學 | C+ |
| 76 | 10010 | 北京化工大學 | C+ |
| 77 | 10030 | 北京外國語大學 | C+ |
| 78 | 10034 | 中央財經大學 | C+ |
| 79 | 10037 | 北京物資學院 | C+ |
| 80 | 10075 | 河北大學 | C+ |
| 81 | 10142 | 沈陽工業大學 | C+ |
| 82 | 10147 | 遼寧工程技術大學 | C+ |
| 83 | 10300 | 南京信息工程大學 | C+ |
| 84 | 10336 | 杭州電子科技大學 | C+ |
| 85 | 10356 | 中國計量大學 | C+ |
| 86 | 10414 | 江西師范大學 | C+ |
| 87 | 10445 | 山東師范大學 | C+ |
| 88 | 10511 | 華中師范大學 | C+ |
| 89 | 10590 | 深圳大學 | C+ |
| 90 | 10616 | 成都理工大學 | C+ |
| 91 | 10651 | 西南財經大學 | C+ |
| 92 | 10674 | 昆明理工大學 | C+ |
| 93 | 11065 | 青島大學 | C+ |
| 94 | 10057 | 天津科技大學 | C |
| 95 | 10058 | 天津工業大學 | C |
| 96 | 10108 | 山西大學 | C |
| 97 | 10291 | 南京工業大學 | C |
| 98 | 10293 | 南京郵電大學 | C |
| 99 | 10337 | 浙江工業大學 | C |
| 100 | 10338 | 浙江理工大學 | C |
| 101 | 10353 | 浙江工商大學 | C |
| 102 | 10360 | 安徽工業大學 | C |
| 103 | 10459 | 鄭州大學 | C |
| 104 | 10488 | 武漢科技大學 | C |
| 105 | 10495 | 武漢紡織大學 | C |
| 106 | 10520 | 中南財經政法大學 | C |
| 107 | 10615 | 西南石油大學 | C |
| 108 | 10617 | 重慶郵電大學 | C |
| 109 | 10621 | 成都信息工程大學 | C |
| 110 | 10689 | 云南財經大學 | C |
| 111 | 11075 | 三峽大學 | C |
| 112 | 11232 | 北京信息科技大學 | C |
| 113 | 10011 | 北京工商大學 | C- |
| 114 | 10022 | 北京林業大學 | C- |
| 115 | 10107 | 石家莊鐵道大學 | C- |
| 116 | 10125 | 山西財經大學 | C- |
| 117 | 10154 | 遼寧工業大學 | C- |
| 118 | 10191 | 吉林建筑大學 | C- |
| 119 | 10225 | 東北林業大學 | C- |
| 120 | 10240 | 哈爾濱商業大學 | C- |
| 121 | 10327 | 南京財經大學 | C- |
| 122 | 10378 | 安徽財經大學 | C- |
| 123 | 10385 | 華僑大學 | C- |
| 124 | 10427 | 濟南大學 | C- |
| 125 | 10430 | 山東建筑大學 | C- |
| 126 | 10466 | 河南農業大學 | C- |
| 127 | 10536 | 長沙理工大學 | C- |
| 128 | 10592 | 廣東財經大學 | C- |
| 129 | 10622 | 四川理工學院 | C- |
| 130 | 10704 | 西安科技大學 | C- |
| 131 | 10792 | 天津城建大學 | C- |
| 132 | 11799 | 重慶工商大學 | C- |
| 133 | 11846 | 廣東外語外貿大學 | C- |
數據來源:教育部學位與研究生教育發展中心
90%的同學還查看了以下內容:
重慶大學管理科學與工程專業全國排第幾
管理科學與工程考研容易考的學校
2007年管理科學與工程專業學校排名
| 排名 | 學校名稱 | 等級 | 排名 | 學校名稱 | 等級 | 排名 | 學校名稱 | 等級 |
| 1 | 北京航空航天大學 | A+ | 11 | 同濟大學 | A | 21 | 北京郵電大學 | A |
| 2 | 清華大學 | A+ | 12 | 復旦大學 | A | 22 | 湖南大學 | A |
| 3 | 上海交通大學 | A+ | 13 | 北京理工大學 | A | 23 | 武漢理工大學 | A |
| 4 | 西安交通大學 | A+ | 14 | 東北大學 | A | 24 | 北京工業大學 | A |
| 5 | 天津大學 | A+ | 15 | 重慶大學 | A | 25 | 南京大學 | A |
| 6 | 哈爾濱工業大學 | A+ | 16 | 西北工業大學 | A | 26 | 中南大學 | A |
| 7 | 大連理工大學 | A+ | 17 | 東南大學 | A | 27 | 電子科技大學 | A |
| 8 | 華中科技大學 | A | 18 | 武漢大學 | A | 28 | 河海大學 | A |
| 9 | 浙江大學 | A | 19 | 西南交通大學 | A | |||
| 10 | 中國科學技術大學 | A | 20 | 哈爾濱工程大學 | A | |||
|
B+等(44個):四川大學、華南理工大學、江蘇大學、中國人民大學、南昌大學、東華大學、上海理工大學、中國地質大學、中山大學、西安理工大學、北京大學、北京交通大學、南京航空航天大學、北京科技大學、吉林大學、南京理工大學、河北工業大學、中國農業大學、上海大學、西安建筑科技大學、中國礦業大學、浙江工商大學、山西大學、南開大學、昆明理工大學、江西財經大學、哈爾濱理工大學、山東師范大學、廣東工業大學、重慶郵電大學、上海海事大學、上海財經大學、福州大學、華北電力大學、中國石油大學、山東大學、南京工業大學、重慶交通大學、華東理工大學、燕山大學、暨南大學、遼寧工程技術大學、北京化工大學、大連海事大學 |
||||||||
|
B等(43個):廈門大學、西安電子科技大學、浙江理工大學、合肥工業大學、沈陽工業大學、東北財經大學、北京工商大學、三峽大學、華中師范大學、浙江工業大學、沈陽大學、中國海洋大學、內蒙古大學、杭州電子科技大學、長沙理工大學、五邑大學、內蒙古工業大學、北京師范大學、江蘇科技大學、南華大學、北京物資學院、西南石油大學、山東經濟學院、山東科技大學、河北科技大學、桂林電子科技大學、長春工業大學、蘭州交通大學、武漢科技大學、東北農業大學、天津財經大學、西安科技大學、南京郵電大學、山西財經大學、安徽理工大學、江西理工大學、山東理工大學、山東建筑大學、武漢科技學院、河南科技大學、湘潭大學、沈陽師范大學、青島大學 |
||||||||
|
C等(29個):名單略 |
||||||||
2015-2016年管理科學與工程專業學校排名
|
|
|
|
|
|
| 1 | 大連理工大學 | 100.000 | 5★ | 228 |
| 2 | 清華大學 | 87.619 | 5★ | 228 |
| 3 | 西安交通大學 | 87.294 | 5★ | 228 |
| 4 | 合肥工業大學 | 86.408 | 5★ | 228 |
| 5 | 天津大學 | 79.479 | 5★ | 228 |
| 6 | 哈爾濱工業大學 | 77.397 | 5★ | 228 |
| 7 | 浙江大學 | 71.920 | 5★ | 228 |
| 8 | 中南大學 | 71.181 | 5★ | 228 |
| 9 | 北京航空航天大學 | 69.773 | 5★ | 228 |
| 10 | 北京交通大學 | 68.696 | 5★ | 228 |
| 11 | 上海交通大學 | 68.685 | 5★ | 228 |
| 12 | 中國科學技術大學 | 67.054 | 5★ | 228 |
| 13 | 同濟大學 | 66.163 | 4★ | 228 |
| 14 | 華中科技大學 | 65.388 | 4★ | 228 |
| 15 | 東南大學 | 63.523 | 4★ | 228 |
| 16 | 南京大學 | 62.063 | 4★ | 228 |
| 17 | 四川大學 | 60.191 | 4★ | 228 |
| 18 | 重慶大學 | 59.815 | 4★ | 228 |
| 19 | 南京航空航天大學 | 58.960 | 4★ | 228 |
| 20 | 武漢大學 | 58.526 | 4★ | 228 |
| 21 | 南昌大學 | 56.412 | 4★ | 228 |
| 22 | 西北工業大學 | 56.374 | 4★ | 228 |
| 23 | 北京理工大學 | 55.292 | 4★ | 228 |
| 24 | 中山大學 | 54.964 | 4★ | 228 |
| 25 | 武漢理工大學 | 53.700 | 4★ | 228 |
| 26 | 東北大學 | 53.647 | 4★ | 228 |
| 27 | 河海大學 | 53.576 | 4★ | 228 |
| 28 | 北京郵電大學 | 52.692 | 4★ | 228 |
| 29 | 北京大學 | 52.481 | 4★ | 228 |
| 30 | 西南交通大學 | 51.299 | 4★ | 228 |
管理科學與工程考研考什么
管理科學與工程研究生考試科目:管理科學與工程初試科目:
101思想政治理論;"201英語一或203日語";303數學三;802管理學。
復試按方向
管理決策與分析方向復試科目為運籌學、應用統計學;
工程管理方向為工程造價、項目評估;
項目管理方向靠項目管理、項目評估。
管理科學與工程考研參考書:
政治、外語、數學這類公共課一般都是要考的,至于專業課的話,得看你具體考哪一所學校了,不同學校的話,專業課考試科目是不一樣的。
管理科學與工程專業研究生就業:
程管理——尤其是建筑施工項目管理,作為就業方向,是一個要有勇氣的選擇。作為項目管理的范疇,這個方向前景無限。只是,必須經過時間的磨練。應該說,將來優秀的建筑工程管理人員,將大多數是從施工一線出來、而且經過各類專業技術工作的磨練(從內業到外業)的人員。沒有技術方面的專長、對建筑技術的全面了解,不可能做好項目管理。而眾多的技術專才并非都能成為真正意義的項目管理人員。
目前的注冊項目經理應該算工程項目管理的代表人物。但我國目前真正意義的項目經理不多,很多掛名的項目經理是公司的領導或部門的領導,或者是僅持有證書、并不真正參與項目的技術人員。對項目的管理太趨于宏觀、甚至徒有虛名。根本問題是工程承發包管理體制的不成熟。我們目前無法回避在承接工程業務上很多是私人(或個人)唱主角的問題,相應的工程承包公司變成了私人(或個人)的依附,因此公司在項目管理上往往要被承接業務的個人的意愿所左右,造成目前項目經理普遍責、權、利無法統一。暫且拋開“利”不談,試問沒有相應的“權力”,如何實現“責任”!?這是目前工程項目管理的最關鍵問題所在!——不是技術、不是管理能力、也不是管理制度的問題,而是外部體制的問題!
當然,我們不必因噎廢食。相信我們的政府、市場能解決好此問題。即使在西方發達國家,也不能回避私人承接業務上的作用,關鍵在于其市場制度明確各方面的責權利。行業、市場制度完善,促使項目管理按照規范程序來走,而背后的利益通過市場成文、不成文的規定得到很好的劃分,使得項目管理走上專業化軌道、遠離個人意志對管理工作本身的影響。作為我們有志從事此行業的人,必須要做的事是打好基礎,經過各項具體工作的艱苦磨練——從技術工作開始。然后將進行更有挑戰性的管理技能的磨練。(施工技術無法涵蓋人員、造價、市場、合同等諸多方面)。
管理技能無法從一般大專院校或是什么X BA、XMP之類研修課程直接學到(那些課程是實踐的總結和升華,沒有實踐基礎不要參與),只有從實實在在的項目一步步著手。建筑工程管理包羅萬象,可學到的東西跨越建筑本身、外延無限,其所需技能可實施于諸多領域。因此這個就業方向前景無限。
2022管理科學與工程專業考研群
微信搜索公眾號“考研派之家”,關注【考研派之家】微信公眾號,在考研派之家微信號輸入【北京科技大學考研分數線、北京科技大學報錄比、北京科技大學考研群、北京科技大學學姐、北京科技大學考研真題、北京科技大學專業目錄、北京科技大學排名、北京科技大學保研、北京科技大學公眾號、北京科技大學研究生招生)】即可在手機上查看相對應北京科技大學考研信息或資源。

北京科技大學管理科學與工程考研 推薦
- 北京科技大學管理科學與工程考研
- 北京科技大學管理科學與工程考研參考書目
- 北京科技大學管理科學與工程考研QQ群
- 北京科技大學管理科學與工程考研難嗎
- 北京科技大學管理科學與工程考研考試科目
- 北京科技大學管理科學與工程研究生分數線
- 北京科技大學管理科學與工程研究生一對一輔導
- 北京科技大學管理科學與工程研究生輔導
- 北京科技大學管理科學與工程考研輔導
- 北京科技大學管理科學與工程考研參考書目
- 北京科技大學東凌經濟管理學院管理科學與工程保研夏令營
- 北京科技大學東凌經濟管理學院管理科學與工程保研
- 北京科技大學東凌經濟管理學院管理科學與工程保研細則
- 北京科技大學東凌經濟管理學院管理科學與工程保研條件
- 北京科技大學東凌經濟管理學院保研夏令營
- 北京科技大學管理科學與工程考研論壇
- 北京科技大學管理科學與工程考研分數線
- 北京科技大學管理科學與工程考研真題
- 昆明理工大學管理科學與工程考研
- 中國地質大學(武漢)管理科學與工程考研
- 中山大學管理科學與工程考研
- 河南工業大學管理科學與工程考研
- 浙江財經大學管理科學與工程考研
- 清華大學管理科學與工程考研
- 中國科學技術大學管理科學與工程考研
- 杭州師范大學管理科學與工程考研
- 哈爾濱商業大學管理科學與工程考研
- 華東理工大學管理科學與工程考研
- 云南財經大學管理科學與工程考研
- 大連大學管理科學與工程考研
- 華東交通大學管理科學與工程考研
- 鄭州航空工業管理學院管理科學與工程考研
- 東北林業大學管理科學與工程考研
- 江西師范大學管理科學與工程考研
- 鄭州大學管理科學與工程考研
- 成都信息工程大學管理科學與工程考研
- 河北地質大學管理科學與工程考研
- 長沙理工大學管理科學與工程考研
- 西安工業大學管理科學與工程考研
- 沈陽師范大學管理科學與工程考研
- 吉林財經大學管理科學與工程考研
- 三峽大學管理科學與工程考研
- 鄭州輕工業大學管理科學與工程考研
- 山西大學管理科學與工程考研
- 河南理工大學管理科學與工程考研
- 山東理工大學管理科學與工程考研
- 華中師范大學管理科學與工程考研
- 中國礦業大學管理科學與工程考研
- 華北水利水電大學管理科學與工程考研
- 山東師范大學管理科學與工程考研
- 大連交通大學管理科學與工程考研
- 蘭州理工大學管理科學與工程考研
- 東南大學管理科學與工程考研
- 天津職業技術師范大學管理科學與工程考研
- 江蘇師范大學管理科學與工程考研
- 清華大學管理科學與工程考研
- 中國科學院大學管理科學與工程考研
- 武漢理工大學管理科學與工程考研
- 天津外國語大學管理科學與工程考研
- 武漢大學管理科學與工程考研
- 五邑大學管理科學與工程考研
- 云南大學管理科學與工程考研
- 西安郵電大學管理科學與工程考研
- 湖南工商大學管理科學與工程考研
- 吉林大學管理科學與工程考研
- 天津科技大學管理科學與工程考研
- 合肥工業大學管理科學與工程考研
- 河北大學管理科學與工程考研
- 南京理工大學管理科學與工程考研
- 山東大學管理科學與工程考研
- 云南財經大學管理科學與工程考研
- 東南大學管理科學與工程考研
- 湖北中醫藥大學管理科學與工程考研
- 華中科技大學管理科學與工程考研
- 青島大學管理科學與工程考研
- 內蒙古科技大學管理科學與工程考研
- 中國科學院大學管理科學與工程考研
- 天津工業大學管理科學與工程考研
北京科技大學研究生學姐

加學姐,獲免費答疑,進考研群
北京科技大學考研網由北京科技大學研究生維護,發布最新的北京科技大學研究生招生信息,還提供北京科技大學研究生1對1輔導和考研真題等服務,有問題請加微信溝通。
